application son spé

Retrouver tous les sujets résolus

Modérateur : moderateur

Verrouillé
Phoenicia

application son spé

Message par Phoenicia » sam. 10 déc. 2011 11:07

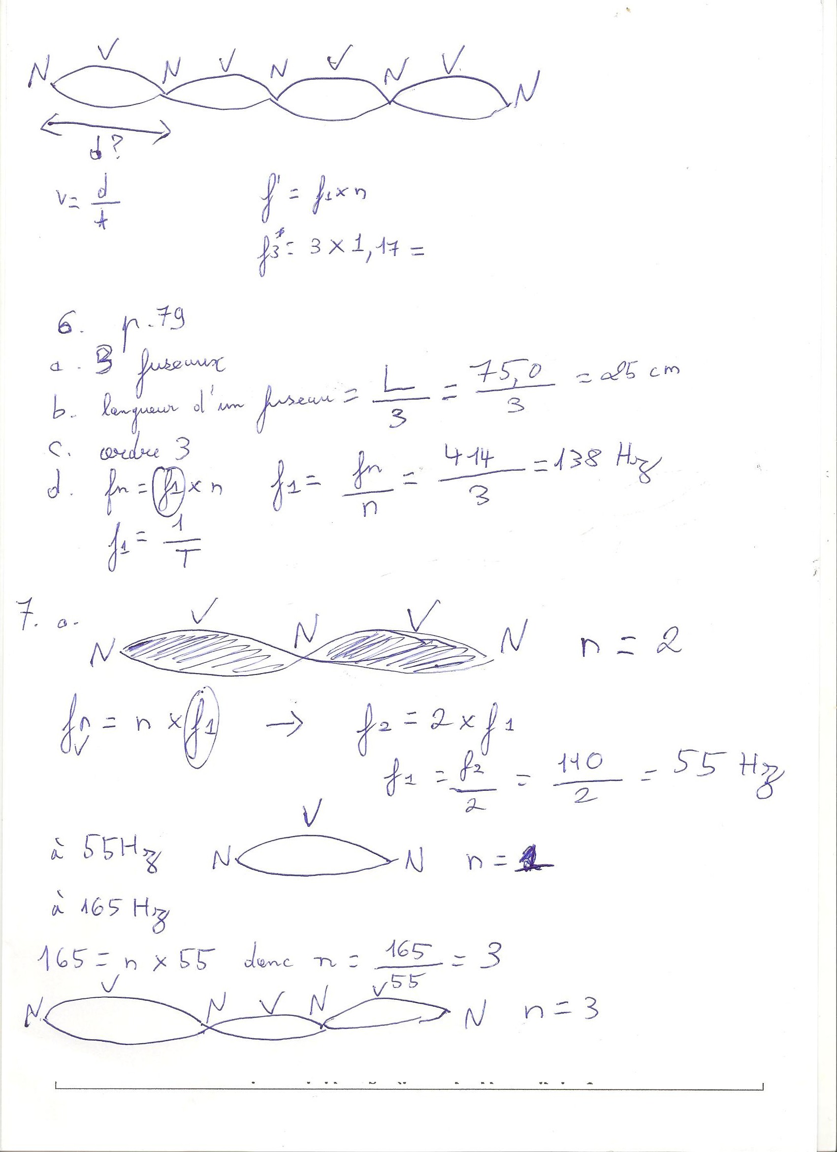
Bonjour, j'ai fait des exercices pour m'entrainer
pour 7c) on obtient aucun fuseaux car c'est trop petit?
Fichiers joints
Sans titre.jpg
2011-12-10_110350.png
2011-12-10_110350.png (146.47 Kio) Vu 7084 fois
SoS(36)
Messages : 574
Enregistré le : jeu. 10 nov. 2011 10:16

Re: application son spé

Message par SoS(36) » sam. 10 déc. 2011 11:44

Bonjour Poenicia,

L'essentiel de cette partie est bien compris. Cependant, il faut reprendre la réponse de la question 7.c de l'exercice c.
Pensez-vous que la réponse il n'y a pas de fuseau parce que c'est trop petit est la bonne réponse ?
Reprenez la relation : fn = n*f1 ; (fn : fréquence de l'harmonique de rang n et f1 fréquence du fondamental).
Vous avez trouvé que pour n = 1, f = 55 Hz.
A vous de faire la suite.
Si vous ne trouvez pas, revenez nous voir et nous vous guiderons dans la résolution.
Phoenicia

Re: application son spé

Message par Phoenicia » sam. 10 déc. 2011 12:22

Comme le rang est inférieur à 1 il n'y a pas de fuseaux?
SoS(36)
Messages : 574
Enregistré le : jeu. 10 nov. 2011 10:16

Re: application son spé

Message par SoS(36) » sam. 10 déc. 2011 12:56

La fréquence du GBF vaut 41 Hz et celle du fondamental (harmonique de rang 1) vaut 55 Hz. On a donc bien 41 Hz < 55 Hz.
Y-a-t-il une relation du type fn=n*f1 entre les deux fréquences 55 Hz et 41 Hz ?
En espérant vous avoir éclairé....
Phoenicia

Re: application son spé

Message par Phoenicia » dim. 11 déc. 2011 10:15

non car elle ne correspond pas à une fréquence de l'harmonique ?
SoS(14)
Messages : 638
Enregistré le : lun. 8 déc. 2008 11:51

Re: application son spé

Message par SoS(14) » dim. 11 déc. 2011 12:01

Phoenica,

Donc si la fréquence imposée ne correspond pas à aucune des harmoniques (ce qui est le cas avec 41 Hz), que se passe-t-il pour la corde ?
Phoenicia a écrit :il n'y a pas de fuseaux
Sos(14)
Phoenicia

Re: application son spé

Message par Phoenicia » dim. 11 déc. 2011 12:14

de plus, f=41Hz n'est pas un multiple de f1 donc il n'y aura aucun son produit et pas de sinusoide?
SoS(14)
Messages : 638
Enregistré le : lun. 8 déc. 2008 11:51

Re: application son spé

Message par SoS(14) » dim. 11 déc. 2011 12:32

Phoenica,

La corde produira un son à 41 Hz ce qui correspond à un son très grave (quasi inaudible à moins que la puissance sonore soit importante mais c'est un autre problème). Et il n'y aura pas de fuseau, mais un mouvement désordonné (en apparence) de la corde.

Sos(14)
Phoenicia

Re: application son spé

Message par Phoenicia » dim. 11 déc. 2011 12:47

comment sait on que 41 Hz correspond à un son très grave?
SoS(14)
Messages : 638
Enregistré le : lun. 8 déc. 2008 11:51

Re: application son spé

Message par SoS(14) » dim. 11 déc. 2011 12:51

Phoenica,

Cela doit figurer dans votre cours ou livre.
Il n'y a pas grand chose à comprendre c'est une définition à apprendre (grave, aigu, médium ...).

Sos(14)
Verrouillé