Constante d'acidité d'un couple Acide/Base.
Modérateur : moderateur
-
koko terminale S
Constante d'acidité d'un couple Acide/Base.
Bonjour,
Tout d'abord, je m'excuse pour le fait que ma question puisse paraître extrêmement évidente, mais je n'ai malheureusement pas pu obtenir de réponse de la part de mon professeur, se contentant de me réponre par "c'est du programme de fin 1ère ça".
Dans le cadre d'une réaction chimique entre deux couples A/B, il s'avère que l'un des deux couples ne réagit pas, ou du moins n'apparaît pas lorsque l'on écrit l'équation de la réaction, et qu'a la place de ce couple, on utilise soit le couple "H3O+/H2O" soit le couple "H2O/HO-".
Je donne un exemple de question qui me perturbe :
"On mélange un volume V1 = ... de solution aqueuse d'éthanoate de sodium et de concentration c2 = ... avec une solution aqueuse d''acide méthanoïque de volume V2 = ... et de concentration C2 = ...
1) écrire l'équation de réaction modélisant la transformation chimique."
Voilà le genre de question sur lequel je tombe. Or il s'avère, qu'après correction de l'exercice, l'équation de la réaction est :
CH3CO2H + HO- = CH3CO2- + H2O
Ma question est : Pourquoi fait on intervenir d'un coup le couple "H2O/HO-" tout d'un coup, et comment savoir si il faut utiliser le couple "H3O+/H2O" ou le couple "H2O/HO-". Pourquoi n'utilise t-on pas le couple correspondant à l'acide méthanoïque dans ce cas là ?
Je suis juste un élève qui essaie de comprendre de manière plus concrète cette méthode, et je n'ai malheureusement trouvé aucune réponse dans mon livre, ou du moins, je n'ai pas su le voir correctement...
Si vous pouviez me répondre, ça serait génial, et vous remercie d'avance. Tout autre conseil là dessus serait la bienvenue :)
Tout d'abord, je m'excuse pour le fait que ma question puisse paraître extrêmement évidente, mais je n'ai malheureusement pas pu obtenir de réponse de la part de mon professeur, se contentant de me réponre par "c'est du programme de fin 1ère ça".
Dans le cadre d'une réaction chimique entre deux couples A/B, il s'avère que l'un des deux couples ne réagit pas, ou du moins n'apparaît pas lorsque l'on écrit l'équation de la réaction, et qu'a la place de ce couple, on utilise soit le couple "H3O+/H2O" soit le couple "H2O/HO-".
Je donne un exemple de question qui me perturbe :
"On mélange un volume V1 = ... de solution aqueuse d'éthanoate de sodium et de concentration c2 = ... avec une solution aqueuse d''acide méthanoïque de volume V2 = ... et de concentration C2 = ...
1) écrire l'équation de réaction modélisant la transformation chimique."
Voilà le genre de question sur lequel je tombe. Or il s'avère, qu'après correction de l'exercice, l'équation de la réaction est :
CH3CO2H + HO- = CH3CO2- + H2O
Ma question est : Pourquoi fait on intervenir d'un coup le couple "H2O/HO-" tout d'un coup, et comment savoir si il faut utiliser le couple "H3O+/H2O" ou le couple "H2O/HO-". Pourquoi n'utilise t-on pas le couple correspondant à l'acide méthanoïque dans ce cas là ?
Je suis juste un élève qui essaie de comprendre de manière plus concrète cette méthode, et je n'ai malheureusement trouvé aucune réponse dans mon livre, ou du moins, je n'ai pas su le voir correctement...
Si vous pouviez me répondre, ça serait génial, et vous remercie d'avance. Tout autre conseil là dessus serait la bienvenue :)
Re: Constante d'acidité d'un couple Acide/Base.
Bonsoir,koko terminale S a écrit :Bonjour,
Tout d'abord, je m'excuse pour le fait que ma question puisse paraître extrêmement évidente, mais je n'ai malheureusement pas pu obtenir de réponse de la part de mon professeur, se contentant de me réponre par "c'est du programme de fin 1ère ça".
Dans le cadre d'une réaction chimique entre deux couples A/B, il s'avère que l'un des deux couples ne réagit pas, ou du moins n'apparaît pas lorsque l'on écrit l'équation de la réaction, et qu'a la place de ce couple, on utilise soit le couple "H3O+/H2O" soit le couple "H2O/HO-".
Je donne un exemple de question qui me perturbe :
"On mélange un volume V1 = ... de solution aqueuse d'éthanoate de sodium et de concentration c2 = ... avec une solution aqueuse d''acide méthanoïque de volume V2 = ... et de concentration C2 = ...
1) écrire l'équation de réaction modélisant la transformation chimique."
Voilà le genre de question sur lequel je tombe. Or il s'avère, qu'après correction de l'exercice, l'équation de la réaction est :
CH3CO2H + HO- = CH3CO2- + H2O
Ma question est : Pourquoi fait on intervenir d'un coup le couple "H2O/HO-" tout d'un coup, et comment savoir si il faut utiliser le couple "H3O+/H2O" ou le couple "H2O/HO-". Pourquoi n'utilise t-on pas le couple correspondant à l'acide méthanoïque dans ce cas là ?
Je suis juste un élève qui essaie de comprendre de manière plus concrète cette méthode, et je n'ai malheureusement trouvé aucune réponse dans mon livre, ou du moins, je n'ai pas su le voir correctement...
Si vous pouviez me répondre, ça serait génial, et vous remercie d'avance. Tout autre conseil là dessus serait la bienvenue :)
Vous parlez ici d'un mélange d'acide faible (non totalement dissocié en solution) : l'acide méthanoïque et d'une base également faible (non totalement dissocié en solution) : l'éthanoate de sodium.
Sachez tout d'abord que ce n'est pas spécialement du programme de terminale S mais nous allons essayer de voir ensemble le problème :
Les réactifs sont : l'acide méthanoïque : HCOOH et l'ion éthanoate H\({_3}\)C-COO\({^-}\), il n'y a ici aucun ion HO\(^-\), l'équation est donc:
HCOOH + H\({_3}\)C-COO\({^-}\) = HCOO\(^-\) + H\({_3}\)C-COOH.
Si vous faites agir l'acide éthanoïque H\({_3}\)C-COOH sur de la soude HO\({^-}\)alors vous aurez l'équation que vous écrivez ci-dessus.
J'espère vous avoir aidé, sinon n'hésitez pas à revenir...
-
koko terminale S
Re: Constante d'acidité d'un couple Acide/Base.
bonsoir,
merci pour votre réponse, j'ai bien compris ce que vous venez de me dire. En fait, la question que je me pose à présent, c'est où est passé le couple "HCOOH/HCOO-" ? Pourquoi ne devrait t-il pas apparaitre dans l'équation de la réaction ?
De plus, je pense avoir mal introduis mon autre question que je reformule ici : comment savoir quel couple entre "H3O+/H2O" et le couple "H2O/HO-" utiliser pour ce genre de réactions, de manière générale ? (qui me servira pour la constante d'équilibre K par la suite...)
Merci d'avance, je suis conscient que ce sont des questions relativement évidentes à la base, mais j'ai un blocage sur cela, qui m'empêche, notamment lors de mes devoirs sur table, de raisonner correctement (alors que la suite de l'exercice qui fait intervenir le pH, et tout le reste, ne m'a jamais posé de problème, et le fait est que si je n'arrive pas à détérminer les réactifs et les produits, bien que mes résultats soient justes après, le raisonnement aura été faux).
merci pour votre réponse, j'ai bien compris ce que vous venez de me dire. En fait, la question que je me pose à présent, c'est où est passé le couple "HCOOH/HCOO-" ? Pourquoi ne devrait t-il pas apparaitre dans l'équation de la réaction ?
De plus, je pense avoir mal introduis mon autre question que je reformule ici : comment savoir quel couple entre "H3O+/H2O" et le couple "H2O/HO-" utiliser pour ce genre de réactions, de manière générale ? (qui me servira pour la constante d'équilibre K par la suite...)
Merci d'avance, je suis conscient que ce sont des questions relativement évidentes à la base, mais j'ai un blocage sur cela, qui m'empêche, notamment lors de mes devoirs sur table, de raisonner correctement (alors que la suite de l'exercice qui fait intervenir le pH, et tout le reste, ne m'a jamais posé de problème, et le fait est que si je n'arrive pas à détérminer les réactifs et les produits, bien que mes résultats soient justes après, le raisonnement aura été faux).
Re: Constante d'acidité d'un couple Acide/Base.
(Re)Bonjour,koko terminale S a écrit :bonsoir,
merci pour votre réponse, j'ai bien compris ce que vous venez de me dire. En fait, la question que je me pose à présent, c'est où est passé le couple "HCOOH/HCOO-" ? Pourquoi ne devrait t-il pas apparaitre dans l'équation de la réaction ?
De plus, je pense avoir mal introduis mon autre question que je reformule ici : comment savoir quel couple entre "H3O+/H2O" et le couple "H2O/HO-" utiliser pour ce genre de réactions, de manière générale ? (qui me servira pour la constante d'équilibre K par la suite...)
Merci d'avance, je suis conscient que ce sont des questions relativement évidentes à la base, mais j'ai un blocage sur cela, qui m'empêche, notamment lors de mes devoirs sur table, de raisonner correctement (alors que la suite de l'exercice qui fait intervenir le pH, et tout le reste, ne m'a jamais posé de problème, et le fait est que si je n'arrive pas à détérminer les réactifs et les produits, bien que mes résultats soient justes après, le raisonnement aura été faux).
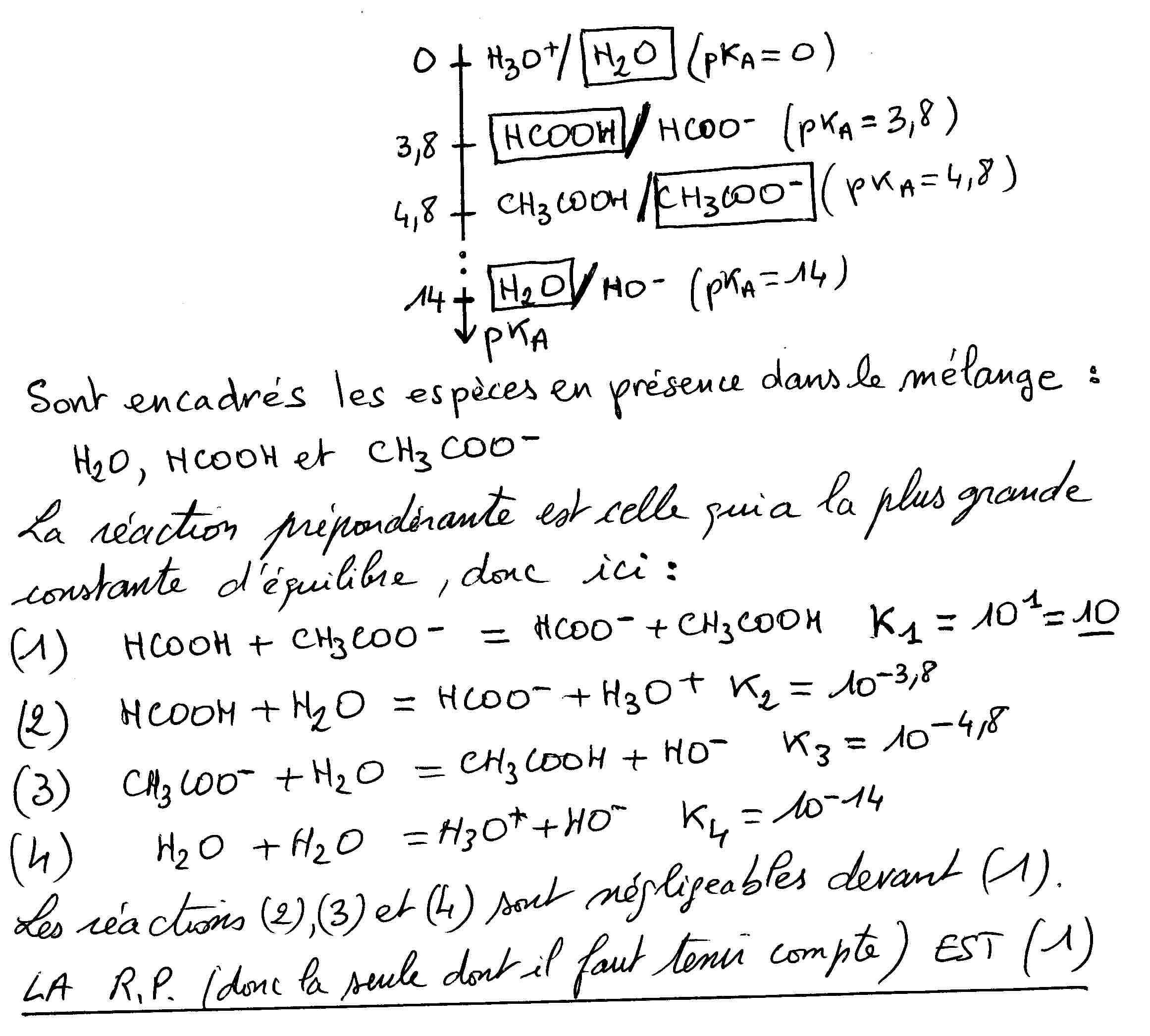
Vous touchez ici un point crucial : quelle est la réaction prépondérante (notée souvent RP) ? (limite du programme de TS...). Si je reprend votre exemple d'un mélange d'acide méthanoïque et éthanoate de sodium, il vous faut tracer un axe vertical des pKa ou vous placerez tous les couple en présence comme indiqué ci dessous :
Bon courage, n'hésitez pas à revenir en cas de besoin...
-
koko terminale S
Re: Constante d'acidité d'un couple Acide/Base.
Merci beaucoup ! Eh bien, votre explication shématisée, suivie des équations de réactions me font mieux comprendre maintenant.
Je pense en avoir terminé avec les questions, tout cela me semble plus clair. Nous n'avons actuellement pas commencé les RP, il me reste donc encore un peu de temps, mais je visualise mieux les réactions, et notamment pourquoi on utilise certains couples et pas d'autres.
Merci pour ce que vous faîtes. :)
Je pense en avoir terminé avec les questions, tout cela me semble plus clair. Nous n'avons actuellement pas commencé les RP, il me reste donc encore un peu de temps, mais je visualise mieux les réactions, et notamment pourquoi on utilise certains couples et pas d'autres.
Merci pour ce que vous faîtes. :)
Re: Constante d'acidité d'un couple Acide/Base.
Pas de quoi, nous sommes la pour ça, bon courage pour la suitekoko terminale S a écrit :Merci beaucoup ! Eh bien, votre explication shématisée, suivie des équations de réactions me font mieux comprendre maintenant.
Je pense en avoir terminé avec les questions, tout cela me semble plus clair. Nous n'avons actuellement pas commencé les RP, il me reste donc encore un peu de temps, mais je visualise mieux les réactions, et notamment pourquoi on utilise certains couples et pas d'autres.
Merci pour ce que vous faîtes. :)
