Le polonium 210

Retrouver tous les sujets résolus

Modérateur : moderateur

Verrouillé
walter

Le polonium 210

Message par walter » sam. 1 janv. 2011 13:09

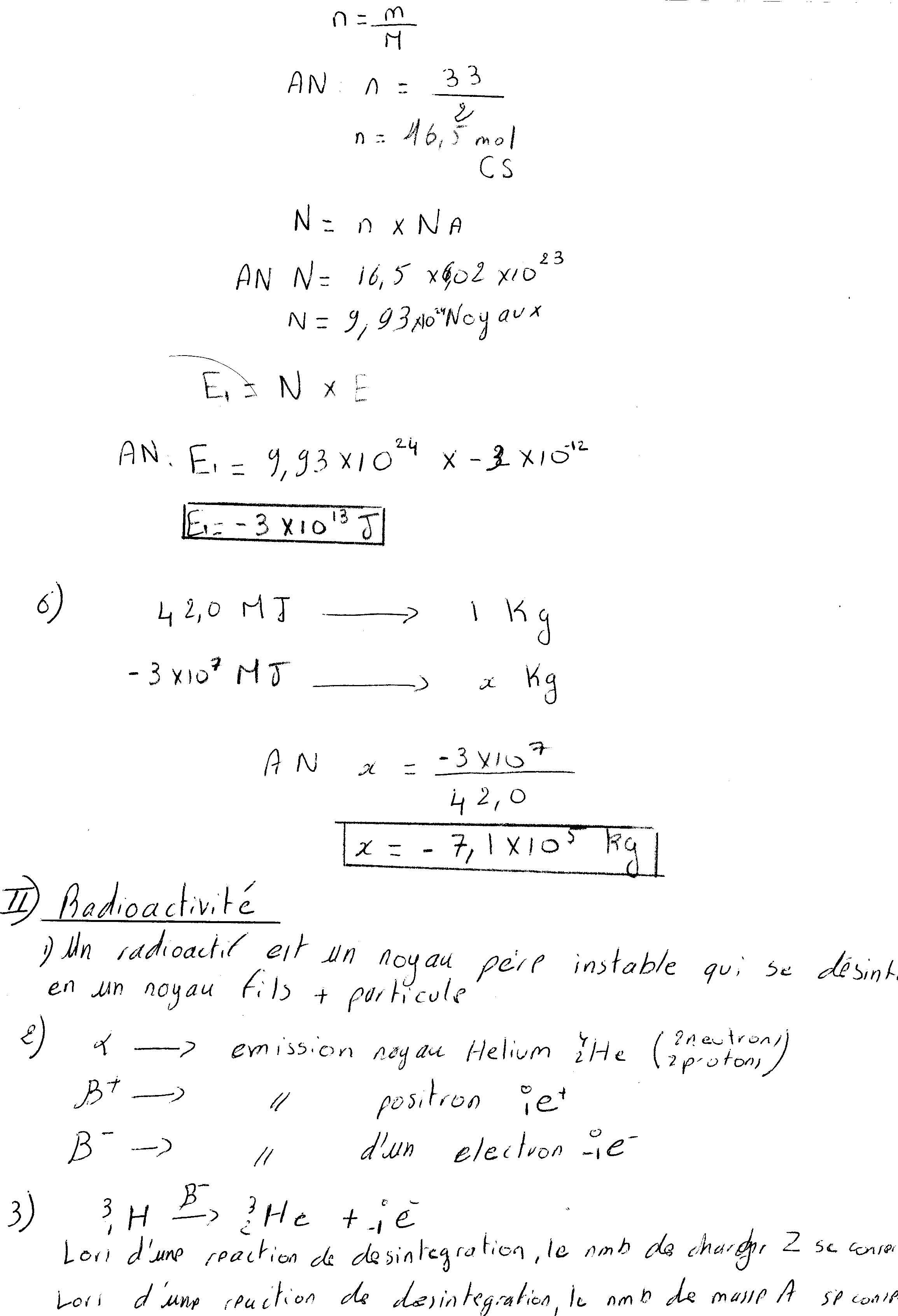
Bonjours a tous
Voila je ne suis pas du tout sur de ce que j ai fais pour la question 4 5 et 6 pouver me dire si je me suis trompé et si c le cas me donner des indications
merci d avance
Fichiers joints
img016.jpg
img017.jpg
img018.jpg
SoS(17)

Re: Le polonium 210

Message par SoS(17) » sam. 1 janv. 2011 13:38

Bonjour Walter,

je ne trouve pas la même valeur que vous pour le calcul de "m(avant)" dans le 3°.
Vous comparez bien les masses mais vous ne donnez pas la conclusion....
Pour le 4°, il serait plus pratique de partir des résultats du 3; je n'obtiens pas tout à fait vos résultats (je trouve E = 2,82.10^-12 J); n'arrondissez pas ! .
Je suis d'accord ou à peu près (problème de précision) pour tout le reste mais ne gardez pas le signe - !
Le début sur la radioactivité est correct.
SoS(17)

Re: Le polonium 210

Message par SoS(17) » sam. 1 janv. 2011 13:40

Pour la suite sur la radioactivité, vous devez trouver dans votre cours la loi liant toutes les grandeurs évoquées....
Pour déterminer la durée demandée, il faut se servir de cette loi et en "extraire" la date.
Je vous laisse chercher ...
Verrouillé