Stéréochimie
Modérateur : moderateur
-
Sans_nom(TS)
Stéréochimie
Bonjour,
Pouvez vous vérifier ce que j'ai écrit en pièce joint s'il vous plait ?
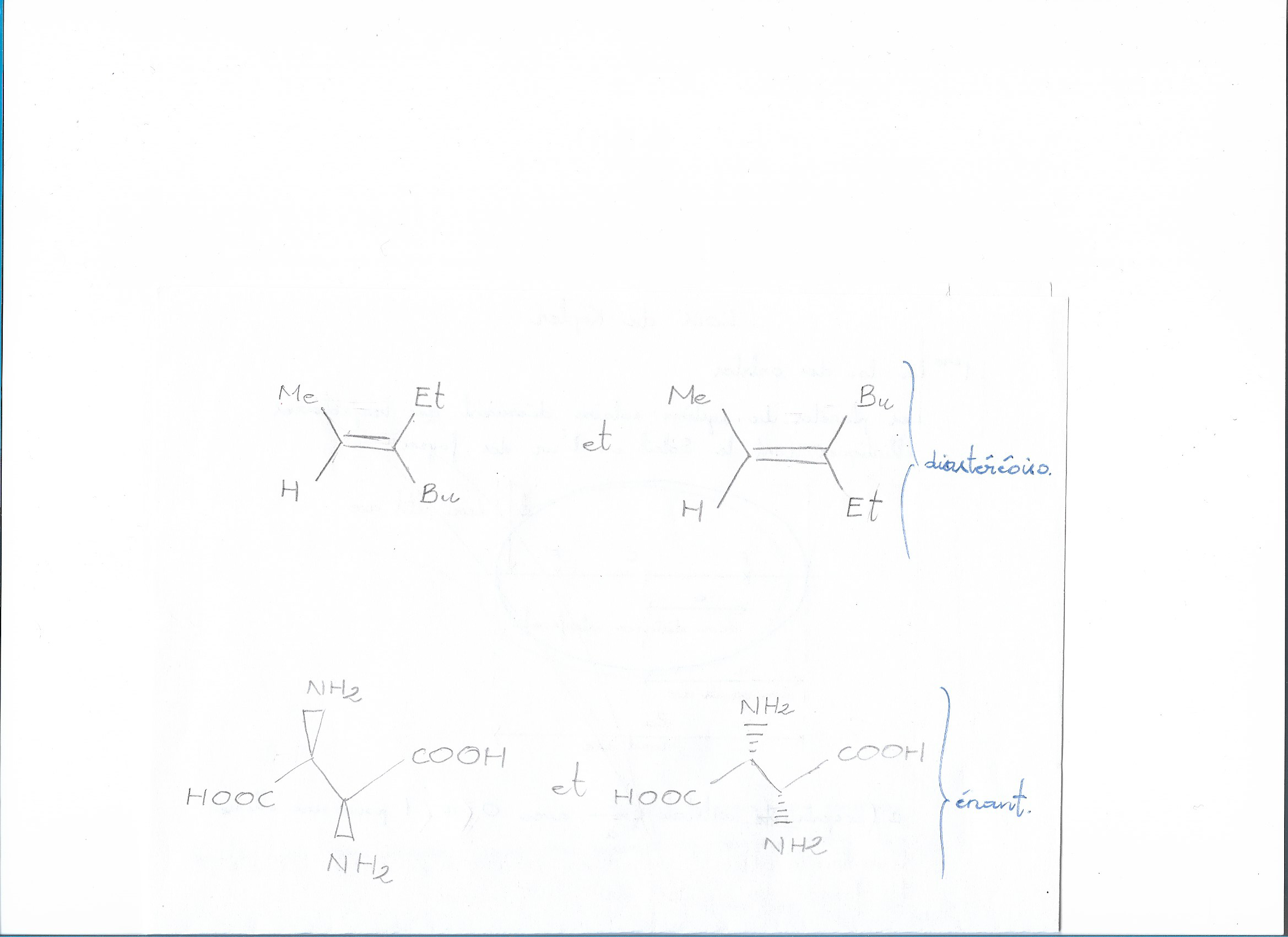
Les molécules sur la première ligne sont des diastéréosiomères.
Les molécules sur la deuxième ligne sont des énantiomères.
Merci de votre attention.
http://sosphysique.ac-poitiers.fr/download/file.php?mode=view&id=3539
Pouvez vous vérifier ce que j'ai écrit en pièce joint s'il vous plait ?
Les molécules sur la première ligne sont des diastéréosiomères.
Les molécules sur la deuxième ligne sont des énantiomères.
Merci de votre attention.
http://sosphysique.ac-poitiers.fr/download/file.php?mode=view&id=3539
Re: Stéréochimie
bonsoir,
vos réponses sont exactes.
vos réponses sont exactes.
-
Invité
Re: Stéréochimie
Bonsoir c'est possible de vous poser une question là dessus svp ?
Re: Stéréochimie
Quelle est votre question?
-
Sans_nom(TS)
Re: Stéréochimie
Bonjour Sos(10).
Merci de votre réponse !
(PS: je précise que la personne ayant répondu précédemment (le dimanche 7 juin à 23h36) n'est pas moi, mais cela n'a aucune importance).
Merci de votre réponse !
(PS: je précise que la personne ayant répondu précédemment (le dimanche 7 juin à 23h36) n'est pas moi, mais cela n'a aucune importance).
