Mecanique & &quation horaire paramétrique !!!

Retrouver tous les sujets résolus

Modérateur : moderateur

Verrouillé
Invité

Mecanique & &quation horaire paramétrique !!!

Message par Invité » dim. 14 juin 2009 12:39

Bonjour ,

J'ai un petit , enfin non , un gros problème avec le chapitre mécanique !
Je n'y comprend pas grand chose , c'est le seul chapitre qui me pose de gros problèmes .
Le plus dur étant les équations paramétriques !
Quelqu'un pourrait-il m'aider ?!

Débora
SoS(1)
Messages : 1260
Enregistré le : mer. 17 oct. 2007 12:36

Re: Mecanique & &quation horaire paramétrique !!!

Message par SoS(1) » dim. 14 juin 2009 13:31

Bonjour

Nous pouvons certainement vous aider à y voir plus claire. Et nous pouvons prendre le temps de le faire.
Mais il faudrait nous donner un point de départ.

Je vous laisse des documents joints afin que vous puissiez me dire ce qui vous gêne.
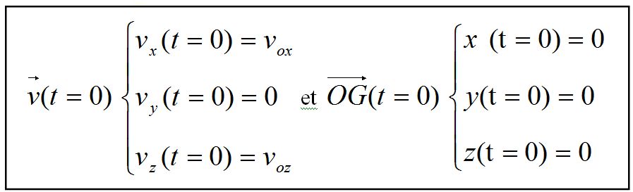
Il s'agit d'un système, qui subit uniquement la force de pesanteur, et qui est lancé avec une vitesse vo à l'instant initial à partir de l'origine du repère. (voir le schéma ci dessous)

J'attends donc votre réponse.
Fichiers joints
message chute5.JPG
message chute4.JPG
message chute3.JPG
message chute2.JPG
message chute1.JPG
SoS(1)
Messages : 1260
Enregistré le : mer. 17 oct. 2007 12:36

Re: Mecanique & &quation horaire paramétrique !!!

Message par SoS(1) » dim. 14 juin 2009 13:34

Attention :

Lorsque j'ai envoyé les documents, ça les a mis à l'inverse de l'ordre chronologique. Le premier document doit être le schéma. Ensuite vous avez les conditions initiales sur le vecteur vitesse et la position du sytème à t = 0.
Puis on écrit les coordonnées de l'accélération, on en déduit ensuite celles de la vitesse, et enfin celles de la position.
Verrouillé