Page 1 sur 1
Représentation spatiale des molécules
Posté : mar. 20 oct. 2015 13:35
par Laetitia
Bonjour, vous trouverez l'énoncé ainsi que mes réponses en fichier joint.
Cordialement.
Re: Représentation spatiale des molécules
Posté : mar. 20 oct. 2015 16:30
par SoS(29)
Lætitia,
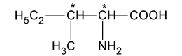
La formule semi développée de la molécule de 3-méthyl-2-aminopentanoïque est correcte et vous avez bien identifié les carbones asymétriques.
Par contre les représentations de CRAM sont erronées : les carbones symétriques n'apparaissent pas comme tétravalent, il faut absolument faire apparaitre l'hydrogène.
En pièces jointes j'ai écrit la formule semi développée de la molécule telle que vous l'avez fait

- 1.png (5.38 Kio) Vu 7213 fois
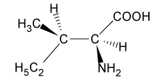
et une version "plus condensée" dans laquelle j'ai regroupé une partie de la chaine carbonée \({ CH }_{ 3 }-{ CH }_{ 2 }-\quad en\quad { C }_{ 2 }{ H }_{ 5 }-\) et le groupe acide carboxylique en \(COOH\).

- 2.png (4.75 Kio) Vu 7213 fois
Enfin je vous ai présenté la représentation de CRAM pour une des configurations, pour vous laisser poursuivre …

- 3.png (5.61 Kio) Vu 7213 fois
Re: Représentation spatiale des molécules
Posté : mar. 20 oct. 2015 20:34
par Laetitia
Bonsoir, merci pour votre aide.
Re: Représentation spatiale des molécules
Posté : mar. 20 oct. 2015 21:02
par SoS(39)
Bonsoir laetitia,
Ce que vous avez fait est juste. Attention cependant à la justification, les molécules sont énantiomères si elles sont différentes ET images l'une de l'autre dans un miroir.
Cordialement,
Sos(39)
Re: Représentation spatiale des molécules
Posté : mer. 21 oct. 2015 10:30
par Laetitia
Bonjour,
D'accord merci.
Donc:
Les molécules A et B sont énantiomères car elles sont différentes et images l'une de l'autre dans un miroir.
Les molécules C et D sont énantiomères car elles sont différentes et images l'une de l'autre dans un miroir.
Les molécules A et D sont diastéréoisomères car elles sont identiques.
Les molécules C et B sont diastéréoisomères car elles sont identiques.
B.Molécule de 2,3-dibromobutane
Les molécules A et B sont énantiomères car elles sont différentes et images l'une de l'autre dans un miroir.
Les molécules A et C sont diastéréoisomères car elles sont identiques.
Les molécules B et C sont diastéréoisomères car elles sont identiques.
Cordialement
Re: Représentation spatiale des molécules
Posté : mer. 21 oct. 2015 13:26
par SoS(29)
Lætitia,
il a une petit erreur dans vos réponses :
Les molécules A et D sont diastéréoisomères car elles sont identiques.
Les molécules C et B sont diastéréoisomères car elles sont identiques.
Deux molécules diastéréoisomères sont différentes, mais elles ne sont pas image l'une de l'autre dans un miroir.
Le configurations A et B sont exactes

- 3&4.png (8.63 Kio) Vu 7202 fois
Il me semble aussi que les représentations de CRAM des molécules C et D sont erronées : en effet, vous avez obtenue la configuration C comme si elle était l'image de A donnée par un miroir.
Pour obtenir C vous devez
représenter une des carbones asymétriques à l'identique de celui de A et représenter
l'autre comme s'il était l'image du second carbone asymétrique de A.
La configuration C est par exemple celle-ci :

- 5.png (5.7 Kio) Vu 7202 fois
Pour la configuration D la représenter comme si elle était l'image de C dans un miroir.
Ce qui donne avec C & D cote à côte :

- 5&6.png (8.43 Kio) Vu 7202 fois
Ainsi fait A et C sont différents ainsi que B et D.
Pour le 2,3-dichlorobutane
Les deux configurations A et B sont des énantiomères :

- 7&8.png (7.82 Kio) Vu 7202 fois
En procédant comme précédemment une autre configuration (notée C) est obtenue en représentant une des carbones asymétrique à l'identique de celui de A et l'autre à l'image du second.
On obtient C :

- 9.png (5.29 Kio) Vu 7202 fois
Cette configuration à un plan de symétrie donc sont image est identique à elle même : comme le suggère le doc suivant sur lequel j'ai représenté coque donne C après une rotation autour de la liaison C-C.
Cette configuration est dite "meso".

- 10.png (9.1 Kio) Vu 7202 fois
Donc A et B sont bien énantiomères A et C sont diastéréoisomères de même que B et C.
Re: Représentation spatiale des molécules
Posté : mer. 21 oct. 2015 20:34
par Laetitia
Bonsoir, j'ai tout repris.
Cordialement
Re: Représentation spatiale des molécules
Posté : jeu. 22 oct. 2015 00:25
par SoS(29)
Lætitia, c'est bon ; ces notions sont importantes, car n'oubliez pas que ces stéréoisomères peuvent avoir de propriétés chimiques, biochimiques et physiques pour certains diastéréoisomères différentes.
Bon travail et n'hésitez pas à revenir sur le forum
Re: Représentation spatiale des molécules
Posté : jeu. 22 oct. 2015 08:15
par Laetitia
D'accord, merci pour votre aide !