Page 1 sur 1
Effet Doppler
Posté : lun. 19 oct. 2015 17:42
par Marion (TS)
Bonjour, pouvez-vous m'aider à répondre à ces quelques questions qui me posent problèmes ?
1. On me donne :
En appelant fA et fB les fréquences d'une onde lumineuse monochromatique diffusée au niveau des points A et B de la surface de Saturne, f0, la fréquence d'une onde incidente, Vsa la vitesse à la surface de Saturne, et c la célérité de la lumière dans le vide, les expériences menées montrent qu'on a les relations :

- 1.PNG (1.51 Kio) Vu 6413 fois
Exprimer la longueur d'onde dans le vide, lambda, d'une onde lumineuse monochromatique en fonction de sa fréquence f et de sa célérité.
2. On me donne :
La vitesse à la surface de Saturne est très faible devant la célérité de la lumière dans le vide. Dans ce cas on a les approximations suivantes :

- 2.PNG (2 Kio) Vu 6413 fois
En utilisant les approximations données, exprimer les longueurs d'onde dans le vide lambda A et lambda B d'une onde lumineuse monochromatique diffusée au niveau des points 1 et B en fonction de la longueur d'onde, lambda 0, de l'onde incidente et de la célérité, c, de la lumière.
3. En déduire que le décalage en longueur d'onde de lambda B - lambda A de l'onde lumineuse monochromatique diffusée aux points A et B vérifient la relation :

- 3.PNG (1.4 Kio) Vu 6413 fois
Merci de bien vouloir m'aider...
Re: Effet Doppler
Posté : lun. 19 oct. 2015 17:49
par SoS(32)
Bonjour Marion,
Merci pour votre message.
- En ce qui concerne la première question, il vous suffit de donner la relation que vous trouverez sans doute dans votre cours entre la longueur d'onde et la fréquence d'une onde.
- Vous pourrez alors remplacer la fréquence f par celles qui vous sont données dans l'exercice.
- En utilisant les approximations, vous pourrez alors les simplifier et répondre à la dernière question.
Je vous laisse commencer par le début qui est simple. revenez si la suite vous pose problème.
Re: Effet Doppler
Posté : lun. 19 oct. 2015 19:57
par Marion (TS)
Voici la réponse à la première question :

- 1.PNG (666 Octets) Vu 6406 fois
Avec lambda en m, c en m/s et f en Hz.
Cependant pour la deuxième, par exemple pour fA je ne retombes pas sur la forme approximative, voilà ce que j'ai fait pour le moment :

- 2.PNG (1.37 Kio) Vu 6406 fois
Re: Effet Doppler
Posté : lun. 19 oct. 2015 21:29
par SoS(29)
Marion,
la relation demandée est bien : \(\lambda =\frac { c }{ f }\)
Et lorsque vous remplacé dans cette relation f par \({ f }_{ A }\) on obtient bien :
\({ \lambda }_{ A }=\frac { c }{ f\times (1+2\frac { { V }_{ SA } }{ c } ) }\)
Pour la suite vous avez mal lu l'énoncé on vous dit que vous pouvez faire l'approximation : \(\frac { 1 }{ 1+2\frac { { V }_{ SA } }{ c } } \approx 1-2\frac { { V }_{ SA } }{ c }\)
Ce qui évidemment simplifie l'expression précédente : \({ \lambda }_{ A }=\frac { c }{ f\times (1+2\frac { { V }_{ SA } }{ c } ) }\) que l'on peut écrire \({ \lambda }_{ A }=\frac { c }{ f } \times \frac { 1 }{ 1+2\frac { { V }_{ SA } }{ c } }\), n'est-ce pas ?
Donc en remplaçant : \(\frac { 1 }{ 1+2\frac { { V }_{ SA } }{ c } }\) par \(1-2\frac { { V }_{ SA } }{ c }\), vous obtenez \({ \lambda }_{ A }=\)………
Faites de même avec \({ \lambda }_{ B }=\frac { c }{ f\times (1-2\frac { { V }_{ SA } }{ c } ) }\).
En faisant l'approximation :\(\frac { 1 }{ 1-2\frac { { V }_{ SA } }{ c } } \approx 1+2\frac { { V }_{ SA } }{ c }\).
Vous obtenez \({ \lambda }_{ B }=\) ………
Il ne vous reste plus qu'à faire : \(\Delta \lambda ={ \lambda }_{ B }-{ \lambda }_{ A }\)
Re: Effet Doppler
Posté : lun. 19 oct. 2015 21:57
par Marion (TS)
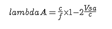
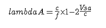
2. Merci, je viens de comprendre mon erreur !
Cela me donne alors :

- 1.PNG (1.21 Kio) Vu 6403 fois
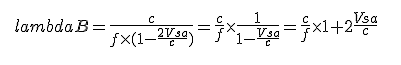
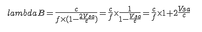
Pour lambda B, je trouves en exploitant la deuxième approximation :

- 2.PNG (2.1 Kio) Vu 6403 fois
Est-ce bien cela ?
3. Voici mon début, puis-je continuer ?

- 3.PNG (2.19 Kio) Vu 6403 fois
Re: Effet Doppler
Posté : lun. 19 oct. 2015 22:13
par SoS(29)
Marion,
n'oubliez pas les parenthèses : \({ \lambda }_{ A }=\frac { c }{ f } \times (1-2\frac { { V }_{ SA } }{ c } )\)
De même pour \({ \lambda }_{ B }=\frac { c }{ f } \times (1+2\frac { { V }_{ SA } }{ c } )\)
Pour la suite je ne comprends pas ce que viens faire la multiplication dans votre réponse.
En effet je suis presque d'accord avec : \(\Delta \lambda ={ \lambda }_{ B }-{ \lambda }_{ A }=\frac { c }{ f } \times (1+2\frac { { V }_{ SA } }{ c } )-[\frac { c }{ f } \times (1-2\frac { { V }_{ SA } }{ c } )]\).
Presque car dans votre réponse vous avez oublié les crochets devant le second terme de la soustraction.
On peut mettre \(\frac { c }{ f }\) en facteur et enlever les parenthèse ou crochets en appliquant les règles liées aux signes ;
ce qui donne : \(\Delta \lambda ={ \lambda }_{ B }-{ \lambda }_{ A }=\frac { c }{ f } (1+2\frac { { V }_{ SA } }{ c } -1+2\frac { { V }_{ SA } }{ c } )\).
Je vous laisse poursuivre …
Re: Effet Doppler
Posté : mar. 20 oct. 2015 12:24
par Marion (TS)
Merci, alors cela devient :

- 4.PNG (1.74 Kio) Vu 6398 fois
Est-ce bien cela ?
Re: Effet Doppler
Posté : mar. 20 oct. 2015 12:33
par SoS(29)
Marion vous avez oublié le "4" ; sinon c'est bien cela :
\(\Delta \lambda ={ \lambda }_{ B }-{ \lambda }_{ A }=\frac { c }{ f } (4\frac { { V }_{ SA } }{ c } )\)
Soit \(\Delta \lambda =4\frac { { V }_{ SA } }{ c } \times { \lambda }_{ 0 }\)
Re: Effet Doppler
Posté : mar. 20 oct. 2015 12:45
par Marion (TS)
Oui merci beaucoup de votre aide !
Re: Effet Doppler
Posté : mar. 20 oct. 2015 13:39
par SoS(29)
Continuez avec cette motivation et …
N'hésitez pas à revenir sur le forum.