Structure et transformation de la matière

Retrouver tous les sujets résolus

Modérateur : moderateur

Verrouillé
guillaume

Structure et transformation de la matière

Message par guillaume » lun. 3 mars 2014 16:48

Bonjour , j'ai un petit travail à faire sur 4 réactions chimiques.

J'en ai déjà fait une , je voudrais que vous vérifier si j'ai des bonnes réponses . Merci

Voici les questions :

I) Aspect Macroscopique
1) Reconnaître les groupes caractéristiques présents dans les molécules intervenant dans la réaction.
2)Indiquer si la transformation met en jeu une modification de chaîne ou une modification de groupe caractéristique.
3) Déterminer la catégorie de la réaction.

II) Aspect microscopique :
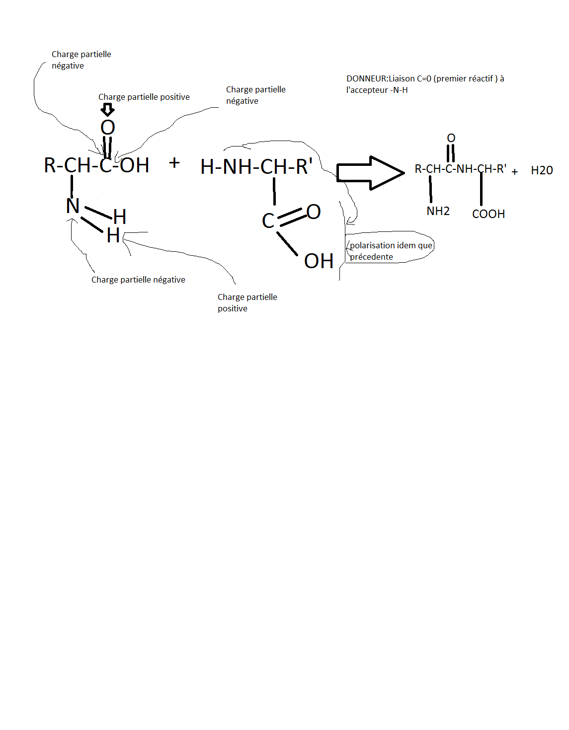
1)Déterminer la polarisation des liaisons N-H et Cdoubleliaisons0 présentes dans une molécules d'acide aminé en lien avec la table d’électronégativité.
2)Identifier les sites donneurs et accepteurs d'électrons dans une molécule d'acide aminé.

J'ai mis déjà la première réaction
premières partie et deuxième partie ( il manque la question 2 j'attend que vous validé les questions d'avant pour la mettre car j'ai encore de nombreux doute pour déterminer cela )


Merci cordialement
Fichiers joints
1 Décarboxylation enzymatique.png
Décarboxylation enzymatique Partie 2 questions.png
1 Décarboxylation enzymatique Partie 1 questions.png
SoS(29)
Messages : 1375
Enregistré le : lun. 4 janv. 2010 13:57

Re: Structure et transformation de la matière

Message par SoS(29) » lun. 3 mars 2014 17:18

Bonjour guillaume.
Il s'agir bien des groupes amine et carboxyle.
2)Indiquer si la transformation met en jeu une modification de chaîne ou une modification de groupe caractéristique.
Le groupe carbonyle disparait donc il s'agit bien d'une modification de groupe même si la chaine carbonée s'en trouve elle aussi modifiée.
Une réaction d'élimination entraine l'apparition d'une double liaison. Donc il ne s'agit pas d'une élimination.
En fait il y a eu substitution du groupe COOH par un H.
1)Déterminer la polarisation des liaisons N-H et Cdoubleliaisons0 présentes dans une molécules d'acide aminé en lien avec la table d’électronégativité.
Au sujet des polarisation il y a quelques erreurs.
Si vous reprenez le tableau périodique avec les valeurs des électronégativités on en déduit que :
La liaison N-H est polarisée N porte la charge partielle négative et H la charge partielle positive.
La liaison C=O est elle aussi polarisée et c'est l'atome O qui porte la charge partielle positive ; le carbone portant la charge partielle positive.
Et même si on ne vous le demande pas l'oxygène lié par une liaison simple au carbone du groupe carboxyle est lui aussi porteur d"une charge partielle négative.
2)Identifier les sites donneurs et accepteurs d'électrons dans une molécule d'acide aminé.
Les sites donneurs possibles sont donc l'azote (N) ou l'oxygène (O) ou la double liaison (C=O)
guillaume

Re: Structure et transformation de la matière

Message par guillaume » mar. 4 mars 2014 14:20

Bonjour , déjà merci de votre réponse.

-Pour la polarisation en effet j'ai mal lu mon tableau maintenant je sais que l'électronégativité est plus forte de la gauche vers la droite et de haut en bas .


- Je me pose cette question comment se fait t'il que l’oxygène n'a pas la même charge partielle négative ?

"La liaison C=O est elle aussi polarisée et c'est l'atome O qui porte la charge partielle positive"

" l'oxygène lié par une liaison simple au carbone du groupe carboxyle est lui aussi porteur d"une charge partielle négative."

Pour la dernière question j'ai beaucoup de mal. Afin de trouver la réponse je me demande: qui donne quoi a qui (quel donneur donne quel électron a quel accepteur)
Je regarde aussi aux niveaux des produits ce qu'il s'est modifié.
Est ce le bon raisonnement a avoir ?

Sinon je dirais donc

- l'azote (N) , donneur donne un électron à l'accepteur de la liaison O-H


-la double liaison (C=O) donneur , donne un électron à l'accepteur de la liaison N-H


Je suis vraiment pas convaincu de mes résultats alors si vous pouvez m'expliquez pour que je sache le faire je serai heureux.

Cordialement
SoS(29)
Messages : 1375
Enregistré le : lun. 4 janv. 2010 13:57

Re: Structure et transformation de la matière

Message par SoS(29) » mar. 4 mars 2014 15:28

bonjour guillaume.
Pour la dernière question j'ai beaucoup de mal. Afin de trouver la réponse je me demande: qui donne quoi a qui (quel donneur donne quel électron a quel accepteur)
Je regarde aussi aux niveaux des produits ce qu'il s'est modifié.
Est ce le bon raisonnement a avoir ?

Sinon je dirais donc

- l'azote (N) , donneur donne un électron à l'accepteur de la liaison O-H


-la double liaison (C=O) donneur , donne un électron à l'accepteur de la liaison N-H


Je suis vraiment pas convaincu de mes résultats alors si vous pouvez m'expliquez pour que je sache le faire je serai heureux.
Il est effectivement très difficile préciser quels sites donneur et accepteur interviennent si l'on ne vous précise pas les étapes intermédiaires qui permettent d'obtenir le produit final.
Mais est-ce ce que l'on vous demande ?
II) Aspect microscopique :
1)Déterminer la polarisation des liaisons N-H et Cdoubleliaisons0 présentes dans une molécules d'acide aminé en lien avec la table d’électronégativité.
2)Identifier les sites donneurs et accepteurs d'électrons dans une molécule d'acide aminé.
On vous demande seulement de préciser les sites donneurs accepteurs dans la molécule d'acide aminé.
Lorsque vous écrivez que l'oxygène de C=O porte une charge patelle positive il s'agit d'un intermédiaire dans lequel un ion hydrogène \({ H }^{ + }\) (catalyseur acide) portant donc un site accepteur s'est lié avec un des doublet non liant de l'oxygène de C=O (site donneur). Et dans ce cas il manque un électron à l'oxygène et il est donc dans cette étape intermédiaire porteur d'une charge positive mais il ne s'agit plus de l'acide aminé il s'agit d'un intermédiaire et donc ce n'est me semble-t-il pas la réponse à la question
2)Identifier les sites donneurs et accepteurs d'électrons dans une molécule d'acide aminé.
Surtout qu'un classe de terminale, il me semble difficile d'envisager cet intermédiaire sans que l'on vous l'ait indiqué.
guillaume

Re: Structure et transformation de la matière

Message par guillaume » mar. 4 mars 2014 15:56

Merci de votre réponse

Ah en fait on demande que les sites donneurs et accepteurs dans la molécule acide aminé (c'est bien celle du réactif entière ? fin je pense pas mais elle est ou cette acide aminé? )


Je pense avoir compris sinon votre explication. Oui l'intermédiaire n'est pas demandé mais c'est juste en complément en bonus pour ma connaissance personnel.
Donc pour résumé (avec des imprécision mais vous m'avez expliqué avec précision ) le donneur est la double liaison (C=O). L' accepteur est la liaison (C-O).


Cordialement
SoS(29)
Messages : 1375
Enregistré le : lun. 4 janv. 2010 13:57

Re: Structure et transformation de la matière

Message par SoS(29) » mar. 4 mars 2014 17:18

C'est plutôt le carbone C lié à l'azote (NH2) qui est accepteur
guillaume

Re: Structure et transformation de la matière

Message par guillaume » ven. 7 mars 2014 16:11

Bonjour , merci de m'avoir répondu.

J'ai fais les trois autres réactions si vous pouvez me corriger ça serait sympa. J'ai mis le tout en pièces jointe.
Par contre certaines questions je les ai pas remise puisque cela revient toujours au même.


Merci d'avance cordialement

Ps: Je renvoie un autre message pour les autres réactions puisque on peut mettre que trois fichier ci joints.
Fichiers joints
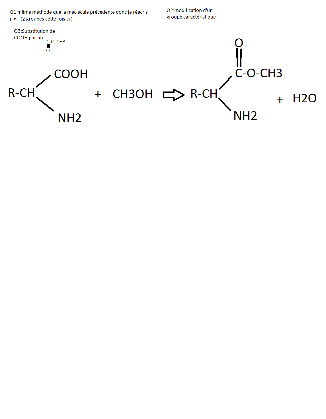
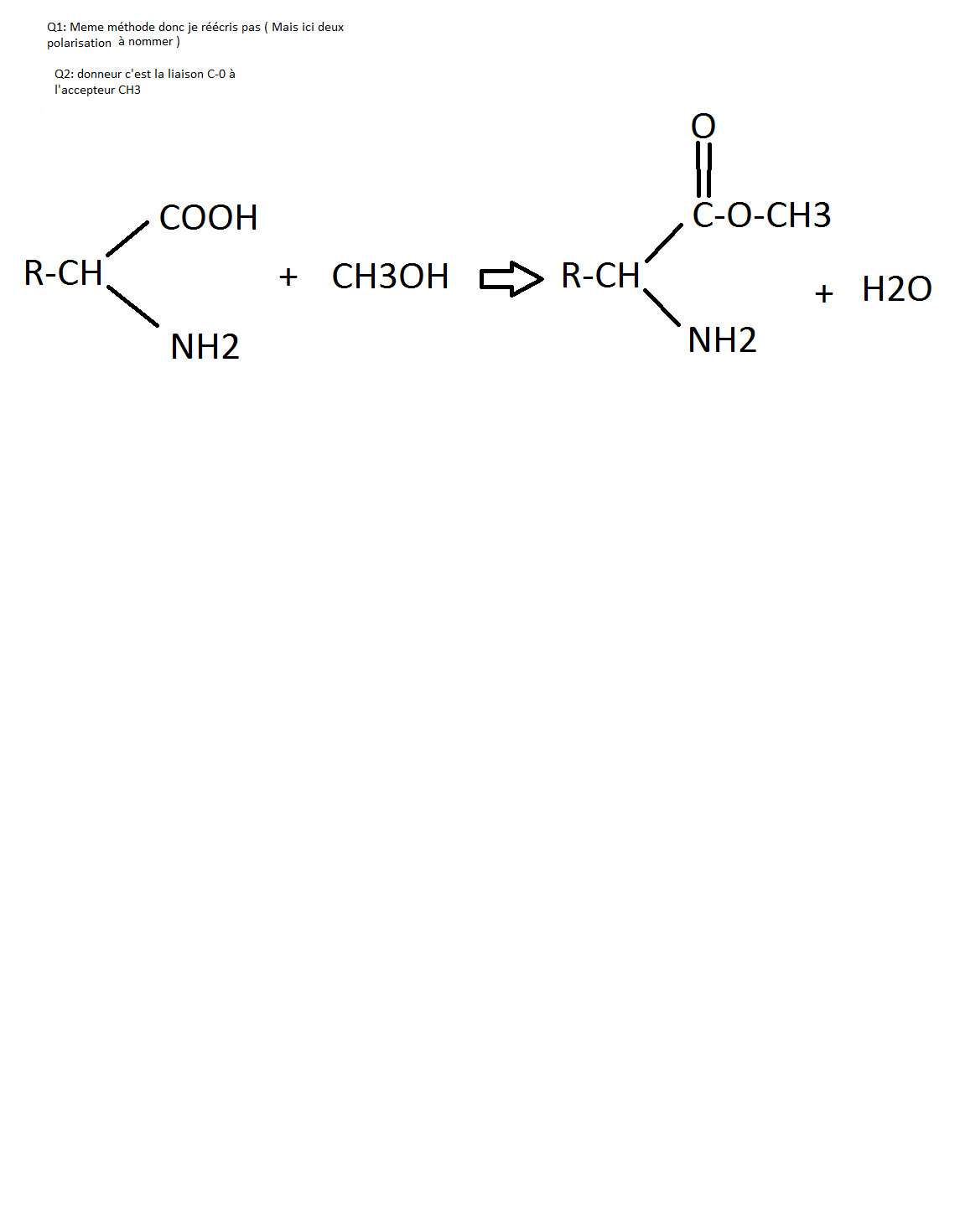
3)Estérification par les alcools premiere partie de questions.png
2 synthese d'un dipeptide deuxieme  partie questions.png
2 synthese d'un dipeptide Premiere partie questions.png
guillaume

Re: Structure et transformation de la matière

Message par guillaume » ven. 7 mars 2014 16:14

Voici les autres réactions en pièces ci-joints.
Fichiers joints
Formation d'une base de Schiff.png
3)Estérification par les alcools deuxieme partie de questions.png
SoS(11)
Messages : 814
Enregistré le : mer. 17 oct. 2007 12:37

Re: Structure et transformation de la matière

Message par SoS(11) » dim. 9 mars 2014 09:15

Bonjour Guillaume,

Pour le premier mécanisme je suis d'accords avec vos réponses.

Pour le deuxième, je pense que c'est le O de CH3OH qui est le site donneur et le doublet non liant qui va "attaquer" le C de COOH.
Car le C porte deux oxygènes et est de ce fait plus électropositif et donc un site accepteur.

A bientôt
SoS(11)
Messages : 814
Enregistré le : mer. 17 oct. 2007 12:37

Re: Structure et transformation de la matière

Message par SoS(11) » dim. 9 mars 2014 09:25

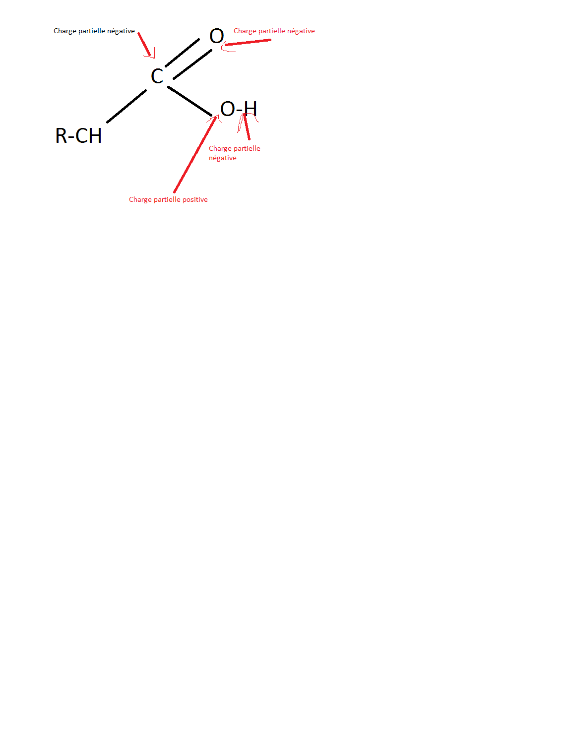
Vous écrivez sur l'un des mécanismes que le carbone dans COOH est porteur d'une charge partielle négative, ce qui n'est pas possible il est porteur d'une charge + pendant que les O sont porteurs de -.

Pour le type de réaction il y a deux mécanisme successif, tout d'abord une addition, puis ensuite une élimination.

En espérant vous aider.
guillaume

Re: Structure et transformation de la matière

Message par guillaume » lun. 10 mars 2014 17:28

Bonjour , merci pour votre réponse.

SoS(11) a écrit :Vous écrivez sur l'un des mécanismes que le carbone dans COOH est porteur d'une charge partielle négative, ce qui n'est pas possible il est porteur d'une charge + pendant que les O sont porteurs de -.

Pour le type de réaction il y a deux mécanisme successif, tout d'abord une addition, puis ensuite une élimination.

En espérant vous aider.
Je ne comprends pas sur qu'elle réaction vous faites le premier commentaire ? Pareillement pour le type de réaction vous parlé de qu'elle mécanisme ?

Merci
guillaume

Re: Structure et transformation de la matière

Message par guillaume » lun. 10 mars 2014 17:50

Rebonjour, désolé pour ce double message mais je viens de comprendre. Je pense que vous dissiez que dans COOH pour les 3 réactions que vous avez corrigé . C'est le C qui porte la charge partielle positive et que les O porte la charge partielle négative . Est- cela ?
Si oui , un de vos collègues avait dis cela(pour la premier post que j'avais fait ) :"La liaison C=O est elle aussi polarisée et c'est l'atome O qui porte la charge partielle positive ; le carbone portant la charge partielle positive."
Est ce que c'était que pour la réaction que votre collègue a corrigé ou alors ici c'est pareil aussi ?

Pour votre toute dernière remarque j'ai aussi compris qu'il s'agissait de la dernière réaction que j'ai posté ( base de schiff )

Cordialement , en espérant que vous allez me répondre au plus vite .
SoS(12)
Messages : 972
Enregistré le : mer. 17 oct. 2007 12:37

Re: Structure et transformation de la matière

Message par SoS(12) » lun. 10 mars 2014 20:30

Bonsoir Guillaume,

Je reprends ce sujet, ce qui est un peu difficile vue la taille de ce qui a déjà été fait !

Pour répondre à votre question, j'ai retrouvé la réponse de mon collègue :
La liaison C=O est elle aussi polarisée et c'est l'atome O qui porte la charge partielle positive ; le carbone portant la charge partielle positive
On voit de suite qu'il s'agit d'une erreur (les deux ne peuvent pas porter une charge partielle positive !).
Mon collègue voulait bien sûr dire
La liaison C=O est elle aussi polarisée et c'est l'atome O qui porte la charge partielle négative; le carbone portant la charge partielle positive
.

Dans une liaison CO, simple ou double, c'est toujours le carbone qui porte la charge partielle positive et l'oxygène qui porte la charge partielle négative (le monoxyde de carbone est un contre exemple plus compliqué à expliquer)

En espérant vous avoir été utile.
SoS(12)
Messages : 972
Enregistré le : mer. 17 oct. 2007 12:37

Re: Structure et transformation de la matière

Message par SoS(12) » lun. 10 mars 2014 20:47

Le premier commentaire est donc toujours vrai.

Le deuxième commentaire est valable aussi pour les deux réactions, mais avec CH3OH, il y a une préparation initiale de l'alcool par le catalyseur acide pour que l'addition puisse se faire, puis l'élimination (mais c'est au-delà du programme de lycée).

Désolé de ne pas avoir répondu aux deux messages dans l'ordre.
guillaume

Re: Structure et transformation de la matière

Message par guillaume » lun. 10 mars 2014 22:27

Daccord merci je comprends. Ah bah c'est notre devoir maison que nous avons eu ça .

Cordialement
Verrouillé