métaux
Modérateur : moderateur
-
SoS(17)
Re: métaux
Bonjour Phoenicia,
H+ ou H30+, peu importe. H+ est utilisé pour montrer le transfert de proton au cours d'une réaction acido-basique, H3O+ est plutôt utilisé quand on parle d'une solution aqueuse acide (H+ + H2O = H3O+), comme l'acide chlorhydrique, mais les deux écritures sont acceptées dans une équation.
H+ ou H30+, peu importe. H+ est utilisé pour montrer le transfert de proton au cours d'une réaction acido-basique, H3O+ est plutôt utilisé quand on parle d'une solution aqueuse acide (H+ + H2O = H3O+), comme l'acide chlorhydrique, mais les deux écritures sont acceptées dans une équation.
-
Phoenicia
Re: métaux
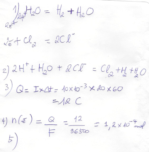
pour la 5) est-ce que Vm=V/M?
-
SoS(17)
Re: métaux
Quelle est l'unité du volume molaire ? Cela devrait vous aider à corriger votre formule.
-
Phoenicia
Re: métaux
L/mol ? je ne vois pas...
-
SoS(17)
Re: métaux
le volume molaire c'est le volume occupé par une mol d'un composé gazeux ; il s'exprime donc en L/mol ce qui vous permet de trouver la formule liant le volume molaire Vm au volume V.
L'unité vous était donnée dans l'énoncé....
L'unité vous était donnée dans l'énoncé....
-
Phoenicia
Re: métaux
ah Vm=V/n?
-
SoS(17)
Re: métaux
Oui ! Je vous conseille vivement d'utiliser les unités pour trouver ou vérifier une formule.
-
Phoenicia
Re: métaux
Mais le n on utilise la quantité d'électrons? On a que cette info
-
SoS(17)
Re: métaux
Que ce soit pour les piles ou les électrolyses, les quantités d'espèces formées ou qui réagissent sont directement liées à la quantité d'électrons qui circulent.
-
Phoenicia
Re: métaux
ah alors quantités de matière = quantité d'électrons ? je ne savais pas
-
SoS(17)
Re: métaux
je n'ai pas écrit cela ! Je dis simplement que toutes les variations observées sont liées à la quantité d'électrons qui circulent. Mais on peut très bien avoir n(e-) = 2.n(X) par exemple.
-
Phoenicia
Re: métaux
Est-ce cohérent si je trouve 2.9*10^-3 L.mol?
-
SoS(17)
Re: métaux
Phoenicia, vous donnez un résultat exprimé en L.mol...alors que vous cherchez un volume. Je ne sais quoi penser de cette valeur....
-
Phoenicia
Re: métaux
euh 2.9*10^-3 L
