quotient de réaction
Modérateur : moderateur
-
Jeanne S
quotient de réaction
Je dois donner l'expression de réaction d'une equation, mais ne connaissant pas les élements, je suis venue a vous.
Est ce que H+ est aqueux ? Et Fe2+, Fe3+, MnO4- et Mn2+ ? merci !
Est ce que H+ est aqueux ? Et Fe2+, Fe3+, MnO4- et Mn2+ ? merci !
Re: quotient de réaction
Bonjour Jeanne,Jeanne S a écrit :Je dois donner l'expression de réaction d'une equation, mais ne connaissant pas les élements, je suis venue a vous.
Est ce que H+ est aqueux ? Et Fe2+, Fe3+, MnO4- et Mn2+ ? merci !
J'avoue ne pas comprendre votre question. Vous demande-t-on d'exprimer le quotient de réaction ? dans ce cas de quelle réaction s'agit-il ?
Effectivement l'ion \(H^+_{(aq)}\) est appelé "proton hydraté", il ne peut exister que entouré d'un certain nombre de molécules d'eau, pour cette raison on indique (aq).
J'attends des précisions sur votre question...
-
Jeanne S
Re: quotient de réaction
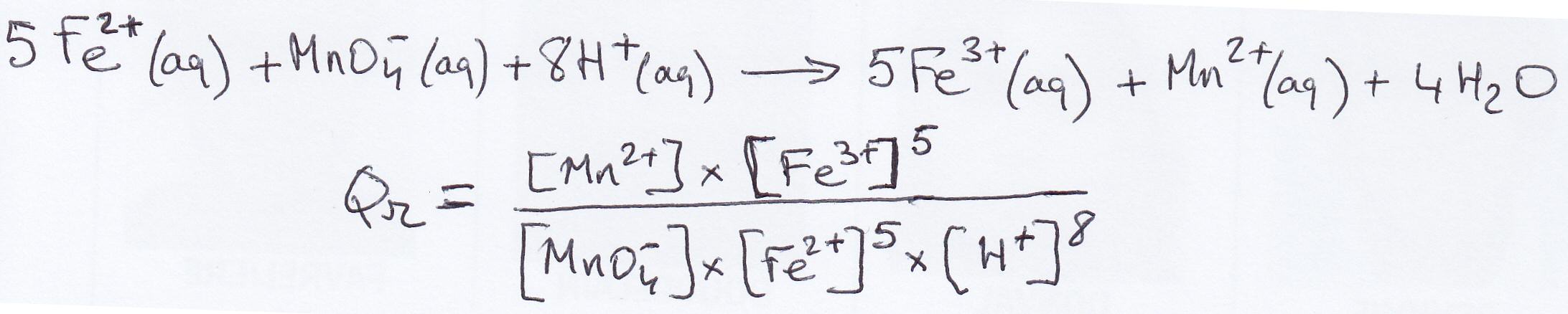
Désolée, pour exprimer un quotient de reaction d'une equations, quelques conditions se posent, comme par exemple " Si l'une des espèces est le solvant, cette espèce ne figure pas dans l'expression". Voilà l'equation chimique :
5Fe+ + MnO4- + 8H+ = 5Fe+ + Mn2+ + 4H2O
5Fe+ + MnO4- + 8H+ = 5Fe+ + Mn2+ + 4H2O
Re: quotient de réaction
Le solvant (ici l'eau) n'intervient pas dans le quotient de réaction, ni les solides. Il faut donc s'assurer que toutes les espèces intervenant dans la réaction sont solides, aqueuses ou autre... Pour cela on indique (aq) pour "aqueux" (s) pour solide etc....Jeanne S a écrit :Désolée, pour exprimer un quotient de reaction d'une equations, quelques conditions se posent, comme par exemple " Si l'une des espèces est le solvant, cette espèce ne figure pas dans l'expression". Voilà l'equation chimique :
5Fe+ + MnO4- + 8H+ = 5Fe+ + Mn2+ + 4H2O
Dans le quotient de réaction, ne doivent intervenir UNIQUEMENT les espèces aqueuses (aq). Solvant (eau) et solide, ont pour "valeur conventionnelle" 1. Dans l'équation que vous proposez, les ions Fer (2+ et 3+) sont aqueux, ainsi que les ions permanganate, manganèse. Qr est donc égal au produit des concentrations des produits puissance coefficients stoechiométriques divisé par le produit des concentrations des réactifs puissance coef stoechimétriques (voir votre cours de TS).
Cela vous aide-t-il ? sinon, reposez votre question...
Re: quotient de réaction
SUJET CLOS PAR LES MODÉRATEURS, SI VOUS VOULEZ LE RELANCER VOUS DEVEZ REFORMULER UNE QUESTION !
