Bonjours a tous
Voila je ne suis pas du tout sur de ce que j ai fais pour la question 4 5 et 6 pouver me dire si je me suis trompé et si c le cas me donner des indications
merci d avance
Le polonium 210
Modérateur : moderateur
-
walter
-
SoS(17)
Re: Le polonium 210
Bonjour Walter,
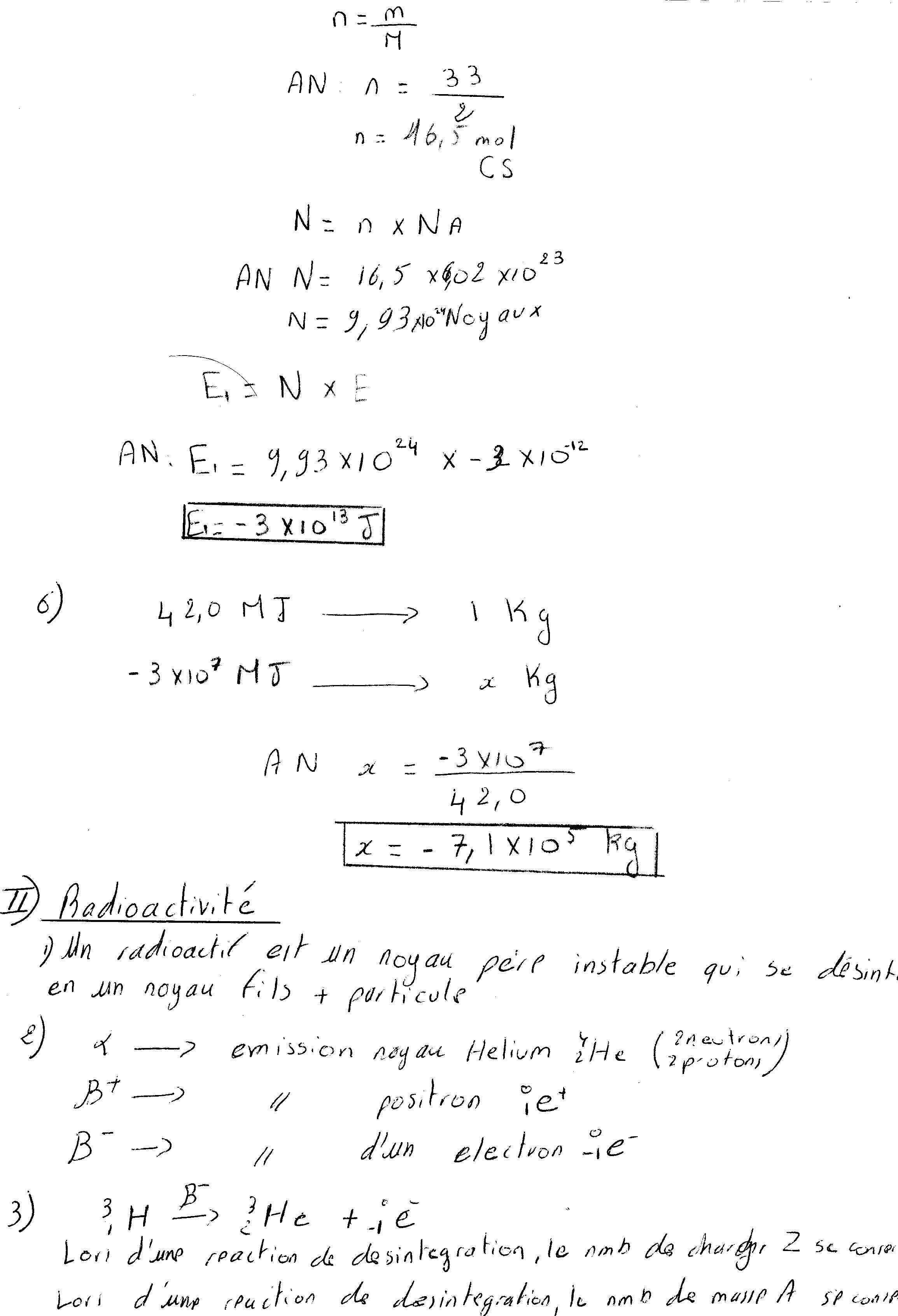
je ne trouve pas la même valeur que vous pour le calcul de "m(avant)" dans le 3°.
Vous comparez bien les masses mais vous ne donnez pas la conclusion....
Pour le 4°, il serait plus pratique de partir des résultats du 3; je n'obtiens pas tout à fait vos résultats (je trouve E = 2,82.10^-12 J); n'arrondissez pas ! .
Je suis d'accord ou à peu près (problème de précision) pour tout le reste mais ne gardez pas le signe - !
Le début sur la radioactivité est correct.
je ne trouve pas la même valeur que vous pour le calcul de "m(avant)" dans le 3°.
Vous comparez bien les masses mais vous ne donnez pas la conclusion....
Pour le 4°, il serait plus pratique de partir des résultats du 3; je n'obtiens pas tout à fait vos résultats (je trouve E = 2,82.10^-12 J); n'arrondissez pas ! .
Je suis d'accord ou à peu près (problème de précision) pour tout le reste mais ne gardez pas le signe - !
Le début sur la radioactivité est correct.
-
SoS(17)
Re: Le polonium 210
Pour la suite sur la radioactivité, vous devez trouver dans votre cours la loi liant toutes les grandeurs évoquées....
Pour déterminer la durée demandée, il faut se servir de cette loi et en "extraire" la date.
Je vous laisse chercher ...
Pour déterminer la durée demandée, il faut se servir de cette loi et en "extraire" la date.
Je vous laisse chercher ...
