Sattelite, vecteur acceleration
Modérateur : moderateur
-
Terminale S
Sattelite, vecteur acceleration
Bonjour,
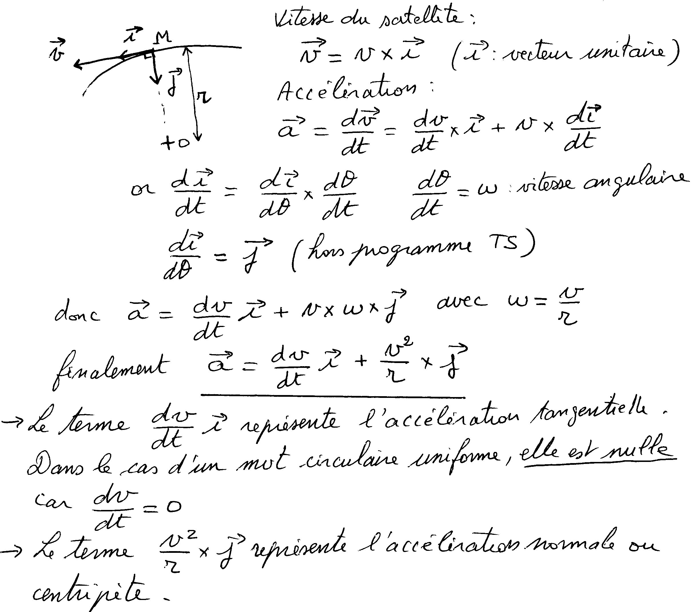
Je voudrais savoir comment on démontre que pour le mouvement d'un satellite uniforme que le vecteur vitesse et toujours perpendiculaire au vecteur accélération et le vecteur accélération est centripète et a comme valeur v² /r
Merci d'avance pour vos réponses.
Je voudrais savoir comment on démontre que pour le mouvement d'un satellite uniforme que le vecteur vitesse et toujours perpendiculaire au vecteur accélération et le vecteur accélération est centripète et a comme valeur v² /r
Merci d'avance pour vos réponses.
Re: Sattelite, vecteur acceleration
Bonjour,Terminale S a écrit :Bonjour,
Je voudrais savoir comment on démontre que pour le mouvement d'un satellite uniforme que le vecteur vitesse et toujours perpendiculaire au vecteur accélération et le vecteur accélération est centripète et a comme valeur v² /r
Merci d'avance pour vos réponses.
Sachez que la démonstration dont vous parlez ci-dessus n'est pas exigible en TS (elle est hors programme). Néanmoins je vous la livre ci-dessous pour éclairer votre curiosité...
J'espère que cela vous aidera.
-
Terminale S, Maroc
Re: Sattelite, vecteur acceleration
Merci beaucoup,
Je sais que ce n'est pas exigible mais vaut mieux apprendre d'où proviennent les formules pour une meilleure cohésion du cours appris.
Je sais que ce n'est pas exigible mais vaut mieux apprendre d'où proviennent les formules pour une meilleure cohésion du cours appris.
Re: Sattelite, vecteur acceleration
OK, pas de problème!
SUJET CLOS PAR LES MODÉRATEURS, SI VOUS VOULEZ LE RELANCER VOUS DEVEZ REFORMULER UNE QUESTION !
SUJET CLOS PAR LES MODÉRATEURS, SI VOUS VOULEZ LE RELANCER VOUS DEVEZ REFORMULER UNE QUESTION !
