bonjour
j'ai du mal à savoir si il faut mettre cos ou sin dans les calculs de moments de force, quand on calcule le bras de levier
pouvez vous me donner des conseils pour y arriver ? ou ddes petits exercices pour m'entrainer ?
merci
juliette
Bonsoir Juliette,
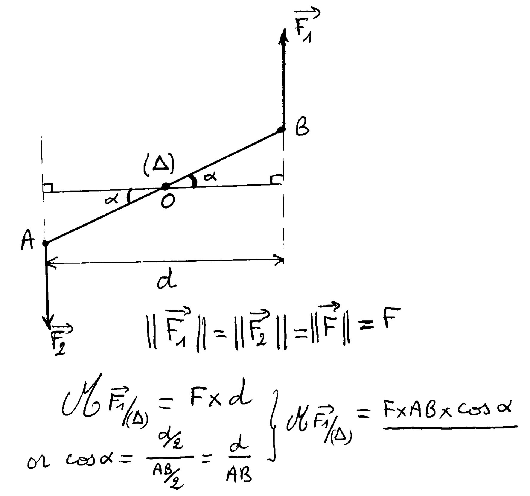
Tout dépend de l'angle, ci-joint deux exemples qui je l'espère vous aideront à comprendre...
cosinus et sinus
Modérateur : moderateur
-
Juliette STL
Re: cosinus et sinus
Bonsoir je pense que la réponse vous convient.
