applications
Modérateur : moderateur
-
SoS(17)
Re: applications
Oui, nous sommes d'accord.
Il vous reste à faire l'application numérique en veillant aux unités.
Il vous reste à faire l'application numérique en veillant aux unités.
-
Phoenicia
Re: applications
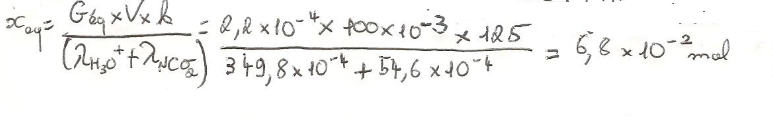
j'ai trouvé 6.8*10^-2 mol?
-
SoS(17)
Re: applications
J'ai bien 6,8 mais pas la même puissance....J'ai trouvé 6,8.10-5 mol.
-
SoS(17)
Re: applications
Vous ne pouvez pas trouver xéq = 6,8.10-2 mol car xmax = C.V = 2,5.10-4 mol.
-
Phoenicia
-
SoS(17)
Re: applications
Vous avez oublié de convertir le volume en m3.
-
Phoenicia
Re: applications
ah merci donc c'est 100 m^-3?
-
SoS(17)
Re: applications
Non ! 100 mL = 100.10^-3 L = 100.10^-3 dm3 = 100.10^-6 m3.
-
Phoenicia
Re: applications
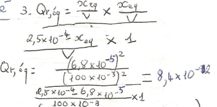
Ok pour Qréq je trouve 8.4*10^-12?
-
SoS(17)
Re: applications
Bonjour Phoenicia,
Je ne trouve pas du tout cela.
Je vous laisse refaire le calcul.
Je ne trouve pas du tout cela.
Je vous laisse refaire le calcul.
-
Phoenicia
-
SoS(17)
Re: applications
Vos valeurs sont justes mais je n'ai pas le même résultat que vous ! Vous gardez des 100.10-3 qui génèrent certainement des erreurs !La puissance -12 que vous obtenez n'est pas vraisemblable : 10^-4 au carré = 10^-8; divisé par 10^-3, on ne peut obtenir 10^-12 mais plutôt 10^-5.....
Refaites le calcul, remplacez 100.10^-3 par 0,1 ou calculez les concentrations avant !
Refaites le calcul, remplacez 100.10^-3 par 0,1 ou calculez les concentrations avant !
