dipole RC

Retrouver tous les sujets résolus

Modérateur : moderateur

SoS(17)

Re: dipole RC

Message par SoS(17) » dim. 8 janv. 2012 11:20

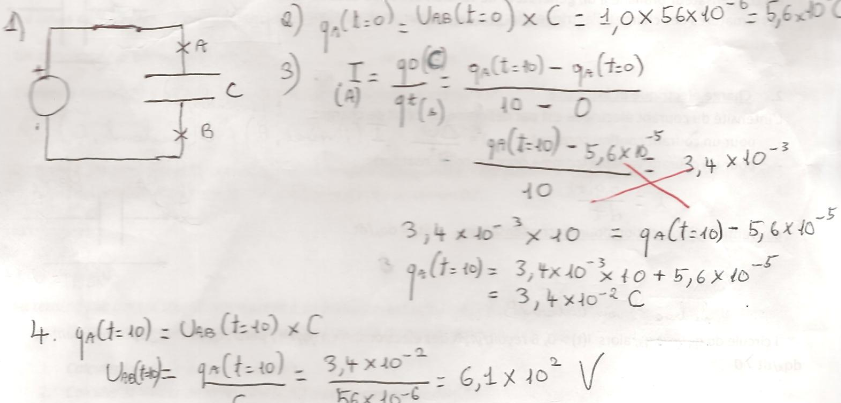
Oui, mais il manque " = i". Dans cette expression, il faut remplacer t par sa valeur, puisque cette formule est valable pour toute valeur de t.
Phoenicia

Re: dipole RC

Message par Phoenicia » dim. 8 janv. 2012 11:21

ok merci et le i faut-il le convertir en ampère?
SoS(17)

Re: dipole RC

Message par SoS(17) » dim. 8 janv. 2012 11:24

Bien sûr ! Phoenicia, il ne faut absolument pas hésiter sur les unités !
Phoenicia

Re: dipole RC

Message par Phoenicia » dim. 8 janv. 2012 11:37

ok si j'ai bien compris
Fichiers joints
2012-01-08_113648.png
SoS(17)

Re: dipole RC

Message par SoS(17) » dim. 8 janv. 2012 11:43

Oui, c'est bien cela !
Verrouillé