TPE : Super Glue
Modérateur : moderateur
-
Théo F
TPE : Super Glue
Bonjour, je fais un tpe sur la colle et je bloque dans la partie physique-chimie:
Le composant de la Super Glue est le cyanoacrylate de méthyle ( https://upload.wikimedia.org/wikipedia/ ... rylate.png ). Il y a une polymérisation avec ce monomère.
J'ai trouvé que la polymérisation était anionique (voir représentation).
Mon problème: Pourquoi OH (provenant de l'humidité ambiante) se lie-t-il avec ce C? On m'a parlé de l'électronégativité ( H < N et O ) puis d'encombrement stérique. Je ne comprend pas...
Est-ce vraiment ce phénomène ???
Merci d'avance!
Le composant de la Super Glue est le cyanoacrylate de méthyle ( https://upload.wikimedia.org/wikipedia/ ... rylate.png ). Il y a une polymérisation avec ce monomère.
J'ai trouvé que la polymérisation était anionique (voir représentation).
Mon problème: Pourquoi OH (provenant de l'humidité ambiante) se lie-t-il avec ce C? On m'a parlé de l'électronégativité ( H < N et O ) puis d'encombrement stérique. Je ne comprend pas...
Est-ce vraiment ce phénomène ???
Merci d'avance!
- Fichiers joints
-
- Super Glue - Polymérisation_Etape2.png (8.32 Kio) Vu 14278 fois
Re: TPE : Super Glue
Bonjour Théo,
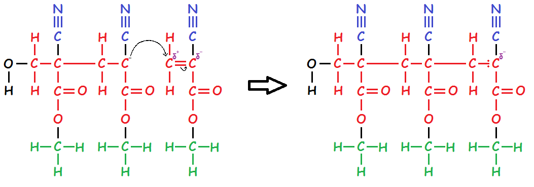
Sur votre schéma apparait une polarisation de la liaison C-C. Elle est provoquée par la présence des groupes C(triple liaison)N et C=O plus loin dans la molécule.
Par conséquent, le carbone "attaqué" par le HO- est légèrement positif, ce qui explique son attaque par le HO- lui-même négatif. Autrement dit, le HO- présent n'ira pas "attaquer" un autre carbone de la molécule (en première approximation).
La notion d'encombrement stérique est juste une histoire de place pour l'attaque. Il faut que HO- (pas si gros que ça par ailleurs) puisse avoir accès au carbone attaqué, ce qui est le cas ici.
Attention, en réalité d'autres réactions peuvent avoir lieu entre HO- et cette molécule, qui peuvent tout aussi bien s'expliquer avec ces critères de polarisation des liaisons et d’encombrement stérique. Notamment sur le carbone du groupe carbonyle C=O. Mais le but ici est d'expliquer CETTE réaction et pas les autres potentielles.
Une remarque cependant sur ces schéma : vous avez sur le premier comme sur le deuxième des carbones ne formant que trois liaisons, ce qui est très discutable ! Peut-être devriez-vous trouver d'autres schémas pour cette réaction, ou vous vous exposez à des questions de la part de votre jury d'oral (je n'y manquerais pas pour ma part !)
En espérant vous avoir aidé.
Sur votre schéma apparait une polarisation de la liaison C-C. Elle est provoquée par la présence des groupes C(triple liaison)N et C=O plus loin dans la molécule.
Par conséquent, le carbone "attaqué" par le HO- est légèrement positif, ce qui explique son attaque par le HO- lui-même négatif. Autrement dit, le HO- présent n'ira pas "attaquer" un autre carbone de la molécule (en première approximation).
La notion d'encombrement stérique est juste une histoire de place pour l'attaque. Il faut que HO- (pas si gros que ça par ailleurs) puisse avoir accès au carbone attaqué, ce qui est le cas ici.
Attention, en réalité d'autres réactions peuvent avoir lieu entre HO- et cette molécule, qui peuvent tout aussi bien s'expliquer avec ces critères de polarisation des liaisons et d’encombrement stérique. Notamment sur le carbone du groupe carbonyle C=O. Mais le but ici est d'expliquer CETTE réaction et pas les autres potentielles.
Une remarque cependant sur ces schéma : vous avez sur le premier comme sur le deuxième des carbones ne formant que trois liaisons, ce qui est très discutable ! Peut-être devriez-vous trouver d'autres schémas pour cette réaction, ou vous vous exposez à des questions de la part de votre jury d'oral (je n'y manquerais pas pour ma part !)
En espérant vous avoir aidé.
-
Théo F
Re: TPE : Super Glue
D'après mon professeur,
l'électronégativité étant plus forte à droite (avec N et O), Carbone de droite attirerait un doublet d’électrons de la double liaison. Il n'y aura donc plus qu'une simple liaison entre les deux Carbones. Le Carbone de droite (anion = gagne un doublet) se charge négativement. Celui de gauche devient lui un cation (chargé positivement). L’espèce formée est donc instable.
L'ion HO- est donc attiré vers C(delta+). Le C(delta-) s'attire avec un C(+) d'un autre monomère et ainsi de suite:
L'ion HO- est donc attiré vers C(delta+). Le C(delta-) s'attire avec un C(+) d'un autre monomère et ainsi de suite:
Re: TPE : Super Glue
Oui cette version là est bien.
-
Théo F
Re: TPE : Super Glue
ok mais hier, mon prof m'a expliqué qu'il s'agissait peut-être d'une molécule d'eau (entière à la place de HO-). L'un des 2 doublets non liants venait se fixer sur C (delta+). L'Oxygène de cette molécule devient instable (car 3 liaisons au lieu de 2). Ainsi, comme O "porte" une charge plus forte, O attire le doublet d'électrons d'une liaison entre O et H. C'est alors que la structure devient stable. Le H+ laissé viendra se fixer sur le C (delta-) pour finir la polymérisation.
Ce phénomène me parait plus compliqué à expliquer mais d'après vous, lequel est le plus probable? Merci
Ce phénomène me parait plus compliqué à expliquer mais d'après vous, lequel est le plus probable? Merci
Re: TPE : Super Glue
L'un comme l'autre sont valables.
Évidemment l’humidité de l'air est plutôt composée de molécules d'eau... Je vous conseillerais de conserver la version avec HO-, et de garder sous le coude la version avec l'eau si on vous pose la question à l'oral. Il est toujours bon de garder des compléments pour l'oral et ainsi montrer que vous vous êtes posé la question.
Évidemment l’humidité de l'air est plutôt composée de molécules d'eau... Je vous conseillerais de conserver la version avec HO-, et de garder sous le coude la version avec l'eau si on vous pose la question à l'oral. Il est toujours bon de garder des compléments pour l'oral et ainsi montrer que vous vous êtes posé la question.
-
Théo F
Re: TPE : Super Glue
Merci, dernière vérification (pour les liaisons hydrogène):
Nous étudions la cohésion de deux feuilles de papier grâce à la Super Glue :
Le papier est fabriqué à partir bois comportant de la cellulose donc la molécule de glucose de formule C6 H12 O6 .
La molécule de la Super Glue (cyanoacrylate de méthyle) possède la propriété de créer des liaisons très fortes avec les molécules d’eau (H2O : hydrogène + hydroxyle). Or celles-ci sont présentent presque partout ; même sur nos doigts !
La cellulose est composée notamment de groupes Hydroxyle (–O-H). Quant à la Super Glue, elle possède des Oxygènes (O2) un Azote (N). Il peut donc se former des liaisons hydrogène:
Est-ce correcte ?
Nous étudions la cohésion de deux feuilles de papier grâce à la Super Glue :
Le papier est fabriqué à partir bois comportant de la cellulose donc la molécule de glucose de formule C6 H12 O6 .
La molécule de la Super Glue (cyanoacrylate de méthyle) possède la propriété de créer des liaisons très fortes avec les molécules d’eau (H2O : hydrogène + hydroxyle). Or celles-ci sont présentent presque partout ; même sur nos doigts !
La cellulose est composée notamment de groupes Hydroxyle (–O-H). Quant à la Super Glue, elle possède des Oxygènes (O2) un Azote (N). Il peut donc se former des liaisons hydrogène:
Est-ce correcte ?
Re: TPE : Super Glue
La question est de savoir si le cyanoacrylate de méthyle forme des liaisons hydrogène (prise physique) ou des liaisons covalentes (prise chimique) avec la cellulose ...
Vos premières questions, qui portaient sur la polymérisation du cyanoacrylate de méthyle, évoquaient une réaction initiale entre le O d'un HO- ou d'une molécule d'eau, formant une liaison covalente avec un carbone de la molécule de cyanoacrylate de méthyle.
Pourquoi n'en serait-il pas de même avec tous les HO de la molécule de cellulose ... On aurait alors une prise chimique, beaucoup plus intense que la prise dite physique formée de liaisons hydrogène.
Je n'ai pas la réponse, je me pose juste la question.
Vos premières questions, qui portaient sur la polymérisation du cyanoacrylate de méthyle, évoquaient une réaction initiale entre le O d'un HO- ou d'une molécule d'eau, formant une liaison covalente avec un carbone de la molécule de cyanoacrylate de méthyle.
Pourquoi n'en serait-il pas de même avec tous les HO de la molécule de cellulose ... On aurait alors une prise chimique, beaucoup plus intense que la prise dite physique formée de liaisons hydrogène.
Je n'ai pas la réponse, je me pose juste la question.
-
Théo F
Re: TPE : Super Glue
Si ce sont des liaisons covalentes qui se créent, comment l'expliquer étant donné qu'il n'est pas question d'un + et d'un - qui s'attirent ?
Je pensais que la Super Glue était à prise physique car notre définition est qu'une colle à prise physique est constituée d'un polymère dissous ou en suspension dans un solvant susceptible de s'évaporer ou d'un polymère qui sous fondu qui va durcir après l'application --> aucune réaction chimique --> liaisons hydrogène.
Les colles à prise chimique sont des colles dans lesquelles le polymère se forme ou se termine au moment de l'utilisation. Un catalyseur, dioxygène, eau de l'atmosphère, ou rayonnement UV provoquent la réaction --> liaisons covalentes.
Je pensais que la Super Glue était à prise physique car notre définition est qu'une colle à prise physique est constituée d'un polymère dissous ou en suspension dans un solvant susceptible de s'évaporer ou d'un polymère qui sous fondu qui va durcir après l'application --> aucune réaction chimique --> liaisons hydrogène.
Les colles à prise chimique sont des colles dans lesquelles le polymère se forme ou se termine au moment de l'utilisation. Un catalyseur, dioxygène, eau de l'atmosphère, ou rayonnement UV provoquent la réaction --> liaisons covalentes.
Re: TPE : Super Glue
Mais c'est bien ici la présence d'eau à la surface des pièces à coller (ou les groupes hydroxyde HO de la cellulose) qui lance le processus de polymérisation. Donc nous sommes plutôt dans le deuxième cas. Mais je vous répète que je n'ai pas la réponse, je vous laisse le soin de l'apporter.
-
Théo F
Re: TPE : Super Glue
D'accord et est-il possible que la Super Glue soit à prise physique et chimique c'est-à-dire qu'il y ai des liaisons hydrogènes et covalentes?
Re: TPE : Super Glue
Vu la molécule, on peut effectivement envisager ces deux types de liaisons. Tout dépend de ce que l'on met en face...
-
Théo F
Re: TPE : Super Glue
Dans le cas du papier, y a-t-il un moyen pour trouver les liaisons hydrogène ?
Re: TPE : Super Glue
Qu'entendez-vous par "trouver" ?
-
Théo F
Re: TPE : Super Glue
Par exemple entre le papier et un adhésif isocyanate, les liaisons covalentes sont le résultat du polyéthane (uréthanes) :
Ainsi, pour la Super Glue et le papier est-ce aussi le polyéthane ? ou un autre (dans ce cas, comment le trouver?) ?
