Chaleur de réaction
Modérateur : moderateur
-
Laêtitia
Chaleur de réaction
Bonjour, je dois faire le compte-rendu de ce TP que nous n'avons pas fait en classe.
Vous trouverez l'énoncé ainsi que mes réponses en fichier joint.
Pour la question 2, mon tableau d'avancement est-il correct ?
Comment dois-je m'y prendre pour montrer que x= (mi-mf)/Mparafine ?
Cordialement.
Vous trouverez l'énoncé ainsi que mes réponses en fichier joint.
Pour la question 2, mon tableau d'avancement est-il correct ?
Comment dois-je m'y prendre pour montrer que x= (mi-mf)/Mparafine ?
Cordialement.
Re: Chaleur de réaction
bonsoir Laëtitia,
Pourquoi posez vous une quantité de matière de 1 mol? De manière , générale, quand le nombre de mol est inconnu, on doit exprimer la quantité de matière n en fonction des données et effectuer le tableau d'avancement de manière générale.
Pourquoi posez vous une quantité de matière de 1 mol? De manière , générale, quand le nombre de mol est inconnu, on doit exprimer la quantité de matière n en fonction des données et effectuer le tableau d'avancement de manière générale.
-
Laëtitia
Re: Chaleur de réaction
Bonjour,
2)
Faut-il que je fasse n=m1 / Mparafine ?
Cordialement.
2)
Faut-il que je fasse n=m1 / Mparafine ?
Cordialement.
Re: Chaleur de réaction
Bonjour,
Afin de trouver ni vous devez faire en effet mi / M car la bougie est constituée de Paraffine. Votre proosition est juste sauf qu'il faut prendre mi et pas m1 qui est la masse de la boite.
A bientôt
Afin de trouver ni vous devez faire en effet mi / M car la bougie est constituée de Paraffine. Votre proosition est juste sauf qu'il faut prendre mi et pas m1 qui est la masse de la boite.
A bientôt
-
Laëttia
Re: Chaleur de réaction
Bonjour,
2.)
Donc ni= \(\frac{m(C25H52)}{M(C25H52)}\)=\(\frac{10,85}{25*12+52}\)=\(\frac{10,85}{352}\)=\(\frac{217}{7040}\) mol
Dans le tableau d'avancement:
Equation / C25H52 + 38O2 -----> 25 CO2 + 26H2O
E.I / n1 / n2 / 0 / 0
E.C.T / n1-x / n2-38x / 25x / 26x
E.F / n1-xmax / n2-38xmax / 25xmax / 26xmax
Est-ce cela ?
(J'avais trouvé précédemment x=\(\frac{(mi-mf)}{M(C25H52)}\)= \(\frac{47}{35200}\), mais ça ne répond pas à la question...)
Cordialement
2.)
Donc ni= \(\frac{m(C25H52)}{M(C25H52)}\)=\(\frac{10,85}{25*12+52}\)=\(\frac{10,85}{352}\)=\(\frac{217}{7040}\) mol
Dans le tableau d'avancement:
Equation / C25H52 + 38O2 -----> 25 CO2 + 26H2O
E.I / n1 / n2 / 0 / 0
E.C.T / n1-x / n2-38x / 25x / 26x
E.F / n1-xmax / n2-38xmax / 25xmax / 26xmax
Est-ce cela ?
(J'avais trouvé précédemment x=\(\frac{(mi-mf)}{M(C25H52)}\)= \(\frac{47}{35200}\), mais ça ne répond pas à la question...)
Cordialement
Re: Chaleur de réaction
Bonjour,
Tout ce que vous faîtes est juste, mais vous ne répondez en effet pas entièrement à la question.
Si on regarde votre tableau d'avancement à l'état final pour la paraffine, on a :
nf = ni - xmax donc à l'état final que vaut x? Sachant que n = m/M vous retrouverez la relation donnée.
Bon courage
Tout ce que vous faîtes est juste, mais vous ne répondez en effet pas entièrement à la question.
Si on regarde votre tableau d'avancement à l'état final pour la paraffine, on a :
nf = ni - xmax donc à l'état final que vaut x? Sachant que n = m/M vous retrouverez la relation donnée.
Bon courage
-
Laetitia
Re: Chaleur de réaction
À l'état final x vaut 47/35200.
Est-ce cela ?
Cordialement
Est-ce cela ?
Cordialement
Re: Chaleur de réaction
Oui c'est bien cela au regard des masses trouvées.
A bientôt
A bientôt
-
Laëtitia
Re: Chaleur de réaction
Bonsoir,
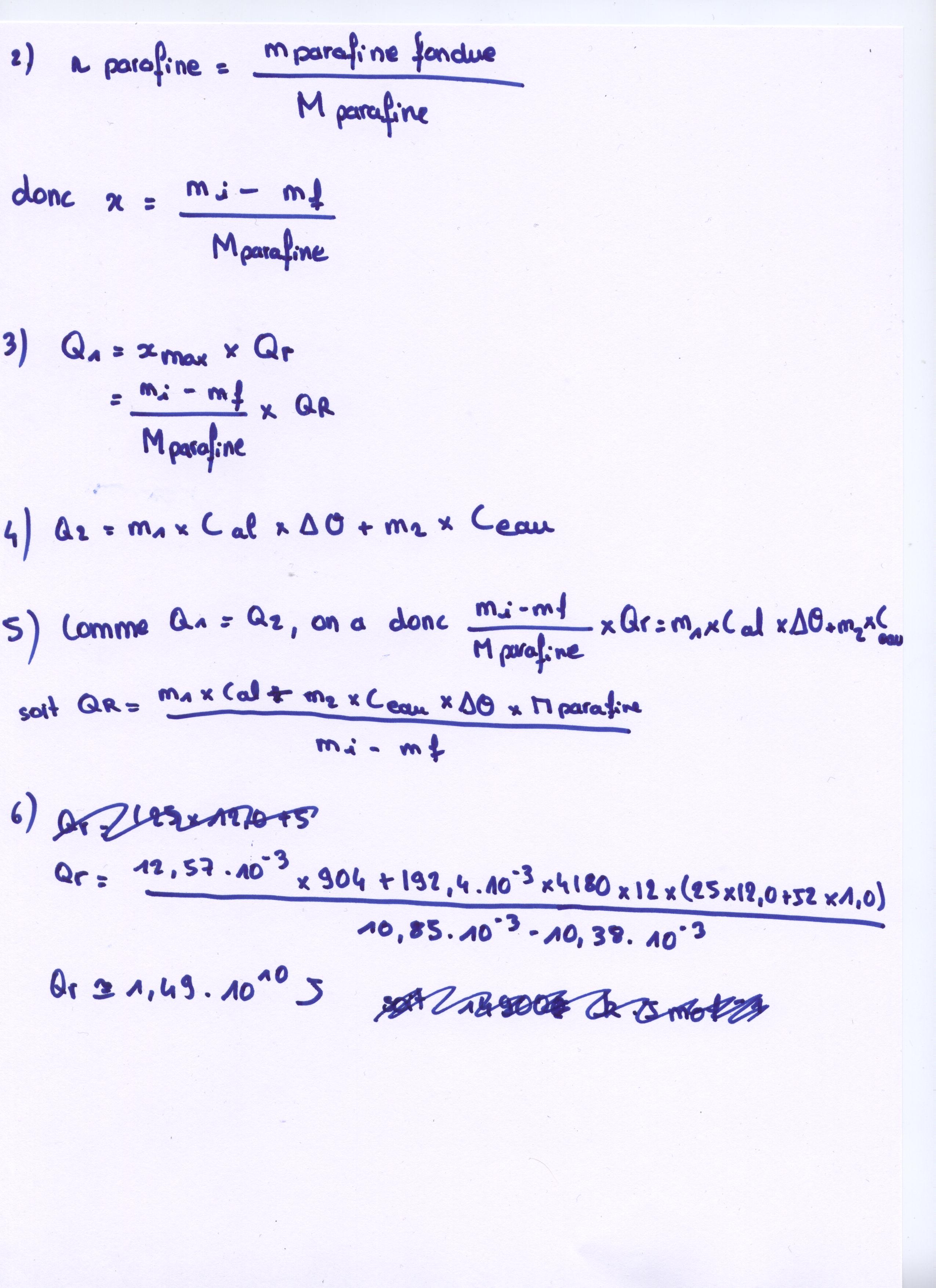
Je dois rendre ce compte-rendu pour demain, pour ne pas me mélanger dans les valeurs j'ai fait sans, car à la question 6 il faut "réaliser l'application numérique" donc utiliser des valeurs...
J'ai pu ainsi poursuivre les autres questions que vous trouverez en fichier joint.
Est-ce correct ?
Pour la question 7, je ne sais pas comment faire pour analyser les raisons de cette écart, ni pour trouver l'écart.
Cordialement.
Je dois rendre ce compte-rendu pour demain, pour ne pas me mélanger dans les valeurs j'ai fait sans, car à la question 6 il faut "réaliser l'application numérique" donc utiliser des valeurs...
J'ai pu ainsi poursuivre les autres questions que vous trouverez en fichier joint.
Est-ce correct ?
Pour la question 7, je ne sais pas comment faire pour analyser les raisons de cette écart, ni pour trouver l'écart.
Cordialement.
Re: Chaleur de réaction
Bonjour Laetitia,
Je reprends l'exercice à la place de mon collègue.
Je ne suis pas d'accord avec votre réponse à la question 4 : pourquoi faites-vous apparaitre la différence de température pour la chaleur absorbée par la boite et pas pour la chaleur absorbée par l'eau ? Regardez l'unité de C pour les deux, et vous verrez qu'elle est la même, donc que l'expression de la chaleur est la même pour les deux.
En restant à votre disposition.
Je reprends l'exercice à la place de mon collègue.
Je ne suis pas d'accord avec votre réponse à la question 4 : pourquoi faites-vous apparaitre la différence de température pour la chaleur absorbée par la boite et pas pour la chaleur absorbée par l'eau ? Regardez l'unité de C pour les deux, et vous verrez qu'elle est la même, donc que l'expression de la chaleur est la même pour les deux.
En restant à votre disposition.
