Loi des nœuds
Modérateur : moderateur
-
luca
Loi des nœuds
Bonjour,
Un autre exercice de mon DM me pose problème, pourtant celui-ci est plutôt simple et rapide.
Voici les données : I1=2A I2 = 1.5 A I3 = 0.75 A
Calculer I4 et donner son sens (entrant ou sortant)
Je sais tout suite qu'il faut utiliser la loi des nœuds.J'avais donc pensais que I4 était sortant (flèche vers la gauche ). La calcul serait : I2+I4-I1 =I3 donc I4 = ..... et c'est là ou je bloque.
Merci de votre aide.
Un autre exercice de mon DM me pose problème, pourtant celui-ci est plutôt simple et rapide.
Voici les données : I1=2A I2 = 1.5 A I3 = 0.75 A
Calculer I4 et donner son sens (entrant ou sortant)
Je sais tout suite qu'il faut utiliser la loi des nœuds.J'avais donc pensais que I4 était sortant (flèche vers la gauche ). La calcul serait : I2+I4-I1 =I3 donc I4 = ..... et c'est là ou je bloque.
Merci de votre aide.
Re: Loi des nœuds
Rebonjour
Vous faites une erreur dans un des signes dans l'expression que vous donnez " I2+I4-I1 =I3 ".
Vous devez compter positivement les intensités qui entrent et positivement celles qui sortent. C'est très bien d'avoir commencer à choisir un sens arbitraire pour I4.
Je vous laisse corriger votre erreur, et revenir vers nous pour nous montrer la correction ou pour vous donner une autre indication si nécessaire.
Vous faites une erreur dans un des signes dans l'expression que vous donnez " I2+I4-I1 =I3 ".
Vous devez compter positivement les intensités qui entrent et positivement celles qui sortent. C'est très bien d'avoir commencer à choisir un sens arbitraire pour I4.
Je vous laisse corriger votre erreur, et revenir vers nous pour nous montrer la correction ou pour vous donner une autre indication si nécessaire.
-
luca
Re: Loi des nœuds
"Vous devez compter positivement les intensités qui entrent et positivement celles qui sortent" d'accord donc exemple I3 = I2+I4 ,vu que I1 sort je ne le compte pas mais le problème c'est que I3 = 0.75
J'ai du mal à comprendre ....
J'ai du mal à comprendre ....
Re: Loi des nœuds
Pardon, j'ai zippé sur un mot : vous devez compter positivement les intensités qui entrent, et négativement celles qui sortent d'un noeud. Toutes les intensités sont à prendre en compte, bien entendu. Désolé pour ce contre temps que cela a engendré.
-
luca
Re: Loi des nœuds
Pas de soucis, mais alors mon ancienne formule est bonne non ? et pour I4 ça serait I4=1.25 car si je fais I4 +I2-I1 =I3 ->1.25+1.5-2=0.75 cela serait bon non ?
Re: Loi des nœuds
D'après le schéma, I1 est un courant entrant. Vous n'êtes pas d'accord ?
-
luca
Re: Loi des nœuds
Ah oui ! donc je dois plutôt l’additionner ? mais le résultat serait faux non ?
-
luca
Re: Loi des nœuds
Ah je crois avoir trouvé ,déjà il y a une erreur sur mon schéma car I2 sort donc on va dire que I1 rentre tandis que I2,I4 et I3 sortent donc pour I1 serait positive et I2,I4 et I3 seraient négative mais je ne vois toujours pas comment calculer I4...
Re: Loi des nœuds
Vous vous trompez pour définir les courants qui entrent et qui sortent. Le schéma de votre exercice peut se simplifier à celui que je vous envoie en pièce jointe. Etes vous bien d'accord si on dit alors que seul I3 sort ? Les autres courants entrent ?
- Fichiers joints
-
- noeud.JPG (18.97 Kio) Vu 5550 fois
-
luca
Re: Loi des nœuds
Oui je suis d'accord I3 sort et les autres entrent mais alors sur mon schéma seul I1 entre ?
Re: Loi des nœuds
Non. Votre schéma est identique au mien. Donc sur votre schéma, seul I3 sort. Les autres entrent.
-
luca
Re: Loi des nœuds
ah oui je viens de comprendre le raisonnement moi je raisonnais en fonction des dipôles (exemple I2 sort de son dipôle)
donc seul I3 sort alors I4=I2+I1-I3 ?
donc seul I3 sort alors I4=I2+I1-I3 ?
Re: Loi des nœuds
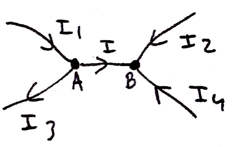
Je vous propose de comprendre cet exercice à l'aide du nouveau schéma que je vous envoie en pièce jointe.
Sur ce schéma, je considère les deux noeuds A et B.
Pouvez vous écrire la relation entre I1, I3 et I au noeud A, et la relation entre I2, I4 et I au noeud B ?
Sur ce schéma, je considère les deux noeuds A et B.
Pouvez vous écrire la relation entre I1, I3 et I au noeud A, et la relation entre I2, I4 et I au noeud B ?
Re: Loi des nœuds
Oui, c'est bien ça. Du coup, mon précédent message est peut-être inutile.
-
luca
Re: Loi des nœuds
d'accord donc pour le nœud A je dirais que I1-I2 =I et pour le nœud B I2+I4 = I
