Dm de Physique assez compliqué
Modérateur : moderateur
-
Qassim
Re: Dm de Physique assez compliqué
D´accord merci je ferais attention,
Si ça ne vous dérange pas, j’ai ça pour la question 2 est-ce bon ?
Si ça ne vous dérange pas, j’ai ça pour la question 2 est-ce bon ?
Re: Dm de Physique assez compliqué
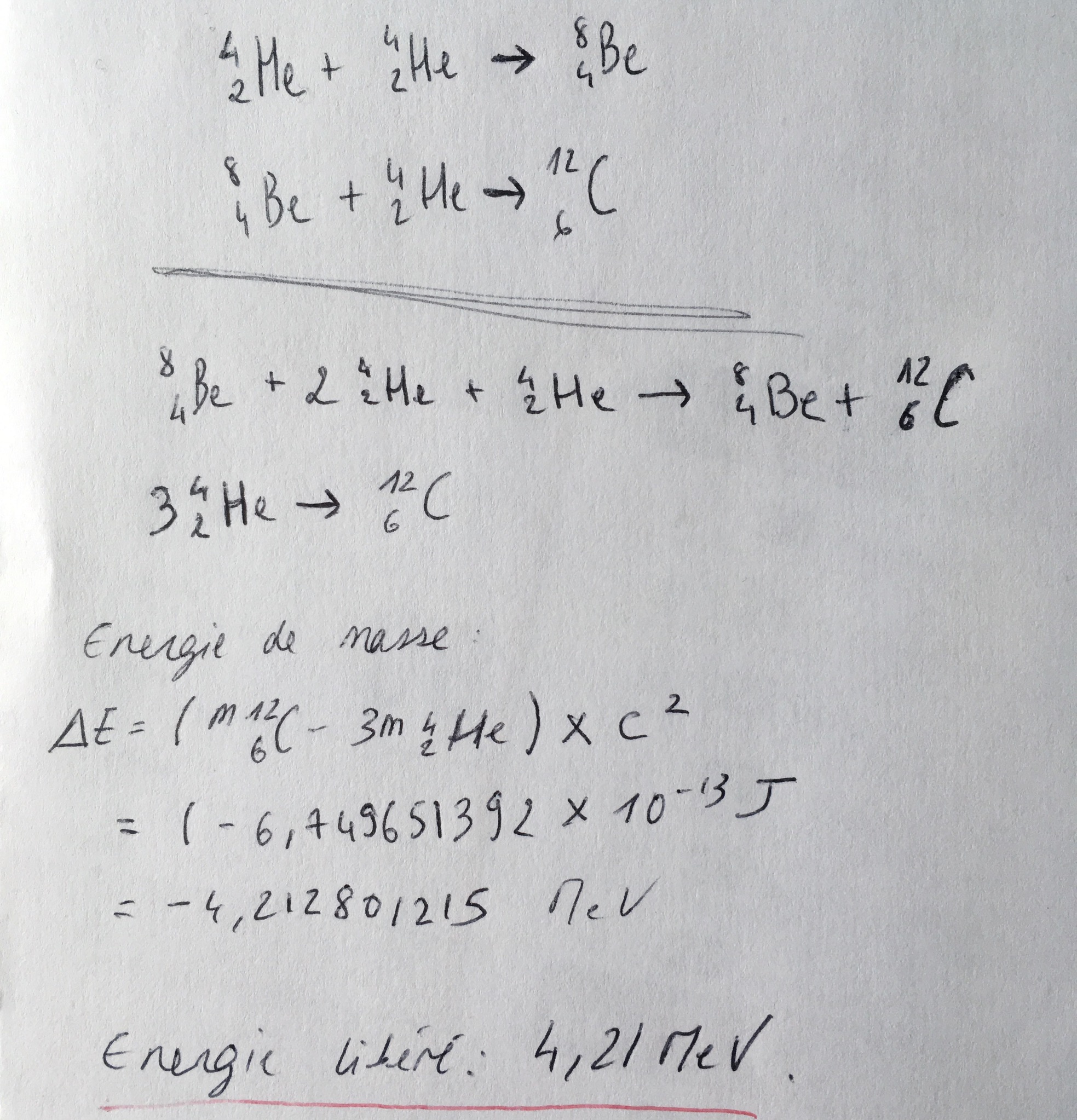
Pour le bilan, On a bien conversion de trois noyaux d'hélium ou particules alpha en un noyau de carbone (réaction triple-alpha)
Je fais toujours la même remarque pour l'écriture des résultats.
ΔE = - 6,75.10^-13 J, soit - 4,21 MeV (à 3 chiffres significatifs, si on prend c=3,00.10^8 m/s et 1MeV =1,60.10-13 J).
Je fais toujours la même remarque pour l'écriture des résultats.
ΔE = - 6,75.10^-13 J, soit - 4,21 MeV (à 3 chiffres significatifs, si on prend c=3,00.10^8 m/s et 1MeV =1,60.10-13 J).
-
George’s
Re: Dm de Physique assez compliqué
Merci bcp
-
Qassim
Re: Dm de Physique assez compliqué
Merci bcp, pour la question 3, ces équations de réactions sont elles corectes ?
Re: Dm de Physique assez compliqué
Vous avez une erreur dans la 3e réaction (un neutron au lieu d'un proton)
Remarque :
Pour bien montrer la fusion de 2 noyaux de carbone, noter C+C → , plutôt que 2C → .
Remarque :
Pour bien montrer la fusion de 2 noyaux de carbone, noter C+C → , plutôt que 2C → .
-
Qassim
Re: Dm de Physique assez compliqué
Merci pour votre aide et votre patience !
Re: Dm de Physique assez compliqué
Très bien. N'hésitez pas à repasser avec d'autres questions.
-
Qassim
Re: Dm de Physique assez compliqué
Si vous êtes encore disponible sinon ce n’est pas grave, il reste une dernière question sur mon Dm c’est la 2 Partie II et je n’y arrive pas, très peu de pistes.
Re: Dm de Physique assez compliqué
Bonjour,
Nous ne sommes pas là pour résoudre vos DM mais répondre à des questions précises. De plus, il manque des données dans cette exercices aux niveaux des énergies de réaction nucléaire.
Néanmoins, commencer par écrire les réactions nucléaires en vous servant de l'énoncé et du tableau périodique.
Cordialement.
Nous ne sommes pas là pour résoudre vos DM mais répondre à des questions précises. De plus, il manque des données dans cette exercices aux niveaux des énergies de réaction nucléaire.
Néanmoins, commencer par écrire les réactions nucléaires en vous servant de l'énoncé et du tableau périodique.
Cordialement.
