Bonjour, j'essaye de comprendre depuis 1 heure le corrigé d'un exercice dans "exo résolus, physique 1ere S, Hatier". Cet exercice fait partie du chapitres sur les forces en mécanique.
Sujet:[un homme est représentant en portant en l'air avec ses deux mains un haltère O---------O] le dessin représent un hltérophile de masse m=90kg tenant à bout de bras une barre de masse m'=190kg.
1_ shématiser les forces exercés (je l'ai fait et j'ai compris)
2_Calculer la valeur des forces exercées sur la barre par l'haltèrophile. Ces deux forces on même valeur et leurs directions font un angle de 20° avec la verticale.
Alors j'ai pensé à faire la méthode analytique, en projetant sous Ox et Oy, mais au final je trouve un résultat différent de la solution( je me suis peut-être trompé mais le livre n'expliquant rien je ne peux pas le savoir).
première question: l'angle de 20° est-il bien à gauche du vecteur Fd (si on considère Fd à gauche de la barre) ??
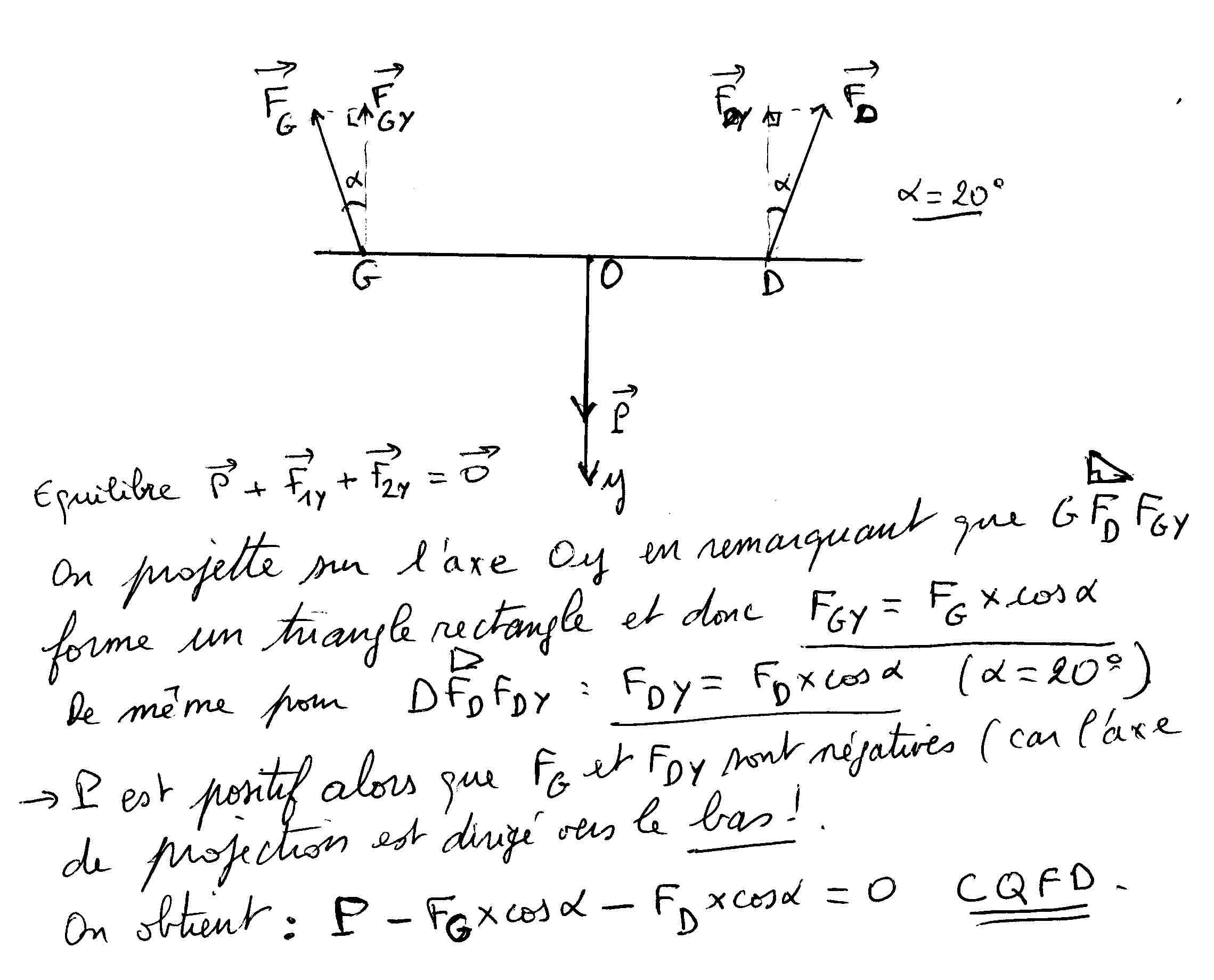
Voici la réponse à la question donné par le livre: La barre de poids Pb est en équilibre, donc la somme des forces appliquées à la barre est nulle:
(vecteur)Pb+(vecteur)Fd+(vecteur)Fg= (vecteur)0
En projettant cette égalité sur la direction verticale, on obtient;
Pb_Fd.cos 20°-Fg.cos 20°=O <- je ne comprend pas ça !!! je ne voit pas pourquoi c'est comme ça....
[la suite de la solution est comprise car ce ne sont que des calculs donc je ne les marque pas]
please, aidez-moi svp!!!
merci d'avance :)
méthode analytique d'un exo corrigé non comprise
Modérateur : moderateur
-
Pierre 1ere S
Re: méthode analytique d'un exo corrigé non comprise
Bonjour Pierre,
Je n'ai pas le livre mais je vous ai préparé un schéma qui devrait vous faire comprendre, si tel n'est pas le cas, n'hésitez pas à me contacter, voici le schéma en question :
Je n'ai pas le livre mais je vous ai préparé un schéma qui devrait vous faire comprendre, si tel n'est pas le cas, n'hésitez pas à me contacter, voici le schéma en question :
