Exercice chimie

Retrouver tous les sujets résolus

Modérateur : moderateur

Répondre
Gabriel

Exercice chimie

Message par Gabriel » mar. 23 juin 2020 18:51

Bonjour,
Ex:
Ex.png
je ne comprends pas la correction de question 2)a) :
2)a).png
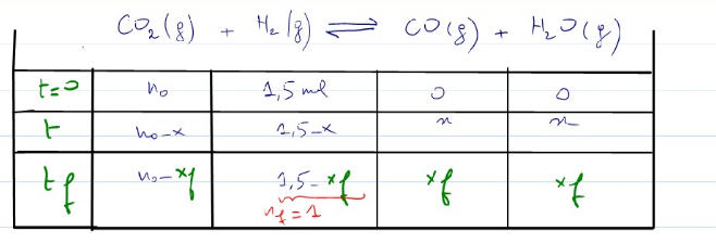
parce que j'ai calculé la constante d'équilibre K puis j'ai calculé la fonction des concentration \(\pi\) et j'ai trouvé que \(\pi > K\)
donc le système évolue dans le sens inverse voici mon travaille :
1.png
\(K=\frac{0.5*0.5}{1*0.5}=0.5\)
\(\pi =\frac{0.5*0.5}{0.4*1}=0.625\)
on a \(\pi > K\)
donc le système évolue dans le sens inverse
mais la correction dit que le système évolue dans le sens direct
pouvez vous m'aider?
Merci d'avance
Répondre