Amplificateur Operationnel 2
Modérateur : moderateur
Re: Amplificateur Operationnel 2
Reprenez votre expression (pièce jointe) et multipliez toute l'équation par R1 + R2 pour vous débarasser du dénominateur.
Vous verrez alors que la réponse est très simple.
Vous verrez alors que la réponse est très simple.
- Fichiers joints
-
- formule2.jpg (3.84 Kio) Vu 4494 fois
-
MANON STL
Re: Amplificateur Operationnel 2
Avant de continuer j'aimerai savoir si cela est juste ;
- Fichiers joints
-
- PHYSIQUESans titre 1.jpg (12.77 Kio) Vu 4494 fois
Re: Amplificateur Operationnel 2
Oui, c'est juste. Vous pouvez poursuivre.
-
manon stl
Re: Amplificateur Operationnel 2
Non, vous refaites la même erreur de la première à la deuxième ligne.
Votre première ligne est une équation du type a/c = b/c. Vous pouvez alors multiplier toute l'équation par c et vous obtenez alors a = b.
Votre première ligne est une équation du type a/c = b/c. Vous pouvez alors multiplier toute l'équation par c et vous obtenez alors a = b.
-
manon stl
Re: Amplificateur Operationnel 2
si j'ai bien compris on obtient ça ? ;
- Fichiers joints
-
- PHYSIQUE3.jpg (14.14 Kio) Vu 4491 fois
Re: Amplificateur Operationnel 2
Excusez moi, mais je vous ai laissé écrire une erreur dans le message précedent (voir fichier joint) :
Vous aviez une équation comportant 3 termes
Lorsque vous multipliez cette équation par R1 + R2, le dénominateur du premier terme de cette équation (R1 + R2) disparaît, le deuxième terme de cette équation (UA) se voit multiplié par (R1 + R2), et le dénominateur du troisième terme de l'équation (R1 + R2 ) disparaît.
Vous obtenez alors R1 (UA - US ) = UA (R1 + R2 ) - UBR2
Y arrivez vous ?
Vous aviez une équation comportant 3 termes
Lorsque vous multipliez cette équation par R1 + R2, le dénominateur du premier terme de cette équation (R1 + R2) disparaît, le deuxième terme de cette équation (UA) se voit multiplié par (R1 + R2), et le dénominateur du troisième terme de l'équation (R1 + R2 ) disparaît.
Vous obtenez alors R1 (UA - US ) = UA (R1 + R2 ) - UBR2
Y arrivez vous ?
- Fichiers joints
-
- formule 3.jpg (4.34 Kio) Vu 4491 fois
-
Manon stl
Re: Amplificateur Operationnel 2
Oui , je comprends ,
j'arrive donc à cette formule finale , y'a t-il moyens de le simplifier ?
j'arrive donc à cette formule finale , y'a t-il moyens de le simplifier ?
- Fichiers joints
-
- PHYSIQUE 4.jpg (16.82 Kio) Vu 4490 fois
Re: Amplificateur Operationnel 2
Attention, vous faites une erreur de signe : c'est + UBR2 et non -UBR2 dans votre expression finale.
Et oui, on peut simplifier cette expression si vous développez UA(R1 + R2)
Vous y êtes presque.
Et oui, on peut simplifier cette expression si vous développez UA(R1 + R2)
Vous y êtes presque.
-
manon stl
Re: Amplificateur Operationnel 2
je trouve donc ; A la question suivante on nous demande de mettre la relation sous la forme , US = k(UB-UA)
on a donc dans ce cas là k = R2/R1
puis dans la 4eme question on nous demande d'exprimé k en fonction de R2 et R1
Dans ces deux question j'ai l'impression que je vais répéter les mêmes choses ..
on a donc dans ce cas là k = R2/R1
puis dans la 4eme question on nous demande d'exprimé k en fonction de R2 et R1
Dans ces deux question j'ai l'impression que je vais répéter les mêmes choses ..
Re: Amplificateur Operationnel 2
Oui c'est vrai... Cela vous fera donc 2 réponses tout à fait correcte.
Faisons un bilan de cete exercice :
Attention aux erreurs d'étourderie, à la fois dans l'application de la loi des mailles, mais aussi dans les calculs. Vous connaissez votre cours et ce serait dommage de ne pas en profiter pleinement. Prenez le temps de bien comprendre votre erreur de mathématique lorsque vous avez divisé toute l'équation par R1 + R2.
Bravo pour votre ténacité
Avez vous d'autres questions ?
Faisons un bilan de cete exercice :
Attention aux erreurs d'étourderie, à la fois dans l'application de la loi des mailles, mais aussi dans les calculs. Vous connaissez votre cours et ce serait dommage de ne pas en profiter pleinement. Prenez le temps de bien comprendre votre erreur de mathématique lorsque vous avez divisé toute l'équation par R1 + R2.
Bravo pour votre ténacité
Avez vous d'autres questions ?
-
manon stl
Re: Amplificateur Operationnel 2
Merci beaucoup de votre aide , sauf j'ai deux dernière questions ;
On nous dit par la suite que k = 0.5 , E' = 8.83.10^-2.n. et R=r'
on a donc US= 0.5(UB-UA)
et d'après la 1ere question U = E'+r'I
comment je peut exprimé US en fonction de n ?
Quel est plutot le rapport entre ces deux relations ?
On nous dit par la suite que k = 0.5 , E' = 8.83.10^-2.n. et R=r'
on a donc US= 0.5(UB-UA)
et d'après la 1ere question U = E'+r'I
comment je peut exprimé US en fonction de n ?
Quel est plutot le rapport entre ces deux relations ?
Re: Amplificateur Operationnel 2
Pour répondre à cette question, il faut d'abord que vous représentiez en série le moteur et la résistance, l'intensité qui circule dans ces deux dipôles, et les tensions U et Ur à leurs bornes.
Ensuite, écrivez toutes les relations que l'on vous donne dans l'énoncé. Il y en a 6 :
Us =
Ua =
Ub =
U =
E' =
R =
Partez de l'expressions de Us, puis remplacez dans cette expression tout ce qui est autre que k et n.
Bon courage pour cette dernière étape, et n'hésitez pas nous demander de l'aide supplémentaire si cela coince quelque part.
Ensuite, écrivez toutes les relations que l'on vous donne dans l'énoncé. Il y en a 6 :
Us =
Ua =
Ub =
U =
E' =
R =
Partez de l'expressions de Us, puis remplacez dans cette expression tout ce qui est autre que k et n.
Bon courage pour cette dernière étape, et n'hésitez pas nous demander de l'aide supplémentaire si cela coince quelque part.
-
MANON STL
Re: Amplificateur Operationnel 2
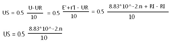
Dans l'énoncé on à le schéma ci-dessous.
On a;
US=0.5(UB-UA)
UA = UR/10
UB = U/10
U = E' + r'I
E' = 8.83.10^-2.n.
R=r'
( Je vous met la suite dans une pièce jointe )
On a;
US=0.5(UB-UA)
UA = UR/10
UB = U/10
U = E' + r'I
E' = 8.83.10^-2.n.
R=r'
( Je vous met la suite dans une pièce jointe )
Re: Amplificateur Operationnel 2
C'est parfait !!
Félicitation. Avez vous une autre question ?
Félicitation. Avez vous une autre question ?
