stéréoisomérie
Modérateur : moderateur
-
terminale S
stéréoisomérie
Bonsoir,
J'ai contrôle lundi après-midi, j'espère que vous pourrez me répondre...
Je n'ai pas bien compris la représentation de Cram en chimie.
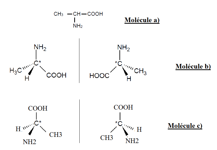
Par exemple, pour représenter avec Cram les énantiomères molécule a), j'avais donné la molécule c) comme réponse mais le corrigé me donnait la molécule b).
Ai-je faux en donnant la molécule c) ? Si oui, comment savoir qui mettre en avant, en arrière, dans le plan..., comment savoir qu'il fallait donner la molécule b) ?
Merci d'avance pour votre aide.
PS : Deuxième question, comment savoir quand il y a des diastéréoisomères ? Car on sait que lorsque qu'il y a un atome de carbone asymétrique, on a des énantiomères, mais on ne sait pas comment savoir quand il y a des diastéréosiomères, ni comment les représenter... Merci pour votre réponse.
J'ai contrôle lundi après-midi, j'espère que vous pourrez me répondre...
Je n'ai pas bien compris la représentation de Cram en chimie.
Par exemple, pour représenter avec Cram les énantiomères molécule a), j'avais donné la molécule c) comme réponse mais le corrigé me donnait la molécule b).
Ai-je faux en donnant la molécule c) ? Si oui, comment savoir qui mettre en avant, en arrière, dans le plan..., comment savoir qu'il fallait donner la molécule b) ?
Merci d'avance pour votre aide.
PS : Deuxième question, comment savoir quand il y a des diastéréoisomères ? Car on sait que lorsque qu'il y a un atome de carbone asymétrique, on a des énantiomères, mais on ne sait pas comment savoir quand il y a des diastéréosiomères, ni comment les représenter... Merci pour votre réponse.
Re: stéréoisomérie
Votre réponse n'est pas correcte, la molécule représentée en (c) est identique à la molécule en haut à gauche (molécule (a) ?). Pour ne pas vous tromper, il suffit de considérer la molécule de départ, de tracer en traits pointillés le miroir plan dans lequel on fait l'image de cette molécule, puis de faire cette image. Pour cela, le groupement en haut du carbone asymétrique reste à la même plage (il suffit de faire une symétrie axiale). Dans l'exemple donné, vous voyez que le groupement NH2 est resté en "haut" du C*, vous vous avez mis un autre groupement (COOH).
Il y a des diastéréoisomères lorsque la molécule possède au moins deux carbones asymétriques ou lorsqu'il y a une double liaison C=C dans la molécule (Z /E)
Il y a des diastéréoisomères lorsque la molécule possède au moins deux carbones asymétriques ou lorsqu'il y a une double liaison C=C dans la molécule (Z /E)
-
terminale S
Re: stéréoisomérie
Bonsoir,
Merci pour votre réponse. Désolé mais je ne comprends toujours pas pourquoi ma réponse (molécule c) ) est fausse.
Si je n'ai pas été assez clair, je devais représenter dans l'espace les énantiomères de la molécule a, celle représentée sous forme semi-développée.
De plus, je pense que je n'ai pas compris comment on peut savoir que le H est en avant, le CH3 en arrière...
Ici le carbone asymétrique est celui situé au centre (C*H), mais comment savoir après quelle liaison est en avant, en arrière, dans le plan...
Y-a-t-il plusieurs réponses possibles ?
J'ai contrôle demain, j'espère que vous pourrez me répondre avant...
Merci pour votre aide.
Merci pour votre réponse. Désolé mais je ne comprends toujours pas pourquoi ma réponse (molécule c) ) est fausse.
Si je n'ai pas été assez clair, je devais représenter dans l'espace les énantiomères de la molécule a, celle représentée sous forme semi-développée.
De plus, je pense que je n'ai pas compris comment on peut savoir que le H est en avant, le CH3 en arrière...
Ici le carbone asymétrique est celui situé au centre (C*H), mais comment savoir après quelle liaison est en avant, en arrière, dans le plan...
Y-a-t-il plusieurs réponses possibles ?
J'ai contrôle demain, j'espère que vous pourrez me répondre avant...
Merci pour votre aide.
Re: stéréoisomérie
Bonsoir, je vais essayer de vous expliquer. Sur le schéma ci-joint (j'ai repris le votre), j'ai entouré des groupes d'atomes que j'ai numérotés (je ne vous explique pas l'ordre de la numérotation). J'ai toujours conservé, pour les quatre molécules représentées, la même numérotation des groupes, de 1 à 4. Le but est de regarder la molécule en plaçant vers l'arrière le groupe n°4, ici l'atome d'hydrogène.
Observons les deux représentations de la molécule (c). Pour ces deux molécules, l'atome d'hydrogène est bien placé vers l'arrière. Quand on tourne (de 1 à 2 puis à 3), dans le sens des aiguilles d'une montre, la molécule est notée R (molécule (c), à gauche), quand on tourne dans le sens inverse, la molécule est notée S (voir molécule (c) à droite).
Pour les représentations de (b), l'hydrogène (groupe n°4) est placé devant, il faut donc inverser la configuration obtenue en tournant dans le sens 1 à 2puis 3. Pour la molécule (b) à gauche, on tourne dans le sens des aiguilles d'une montre, mais on inverse pour obtenir l'hydrogène derrière. Même raisonnement avec la molécule (b) à droite.
Voir me fichier ci-joint
J'espère que cela pourra vous aider.
Observons les deux représentations de la molécule (c). Pour ces deux molécules, l'atome d'hydrogène est bien placé vers l'arrière. Quand on tourne (de 1 à 2 puis à 3), dans le sens des aiguilles d'une montre, la molécule est notée R (molécule (c), à gauche), quand on tourne dans le sens inverse, la molécule est notée S (voir molécule (c) à droite).
Pour les représentations de (b), l'hydrogène (groupe n°4) est placé devant, il faut donc inverser la configuration obtenue en tournant dans le sens 1 à 2puis 3. Pour la molécule (b) à gauche, on tourne dans le sens des aiguilles d'une montre, mais on inverse pour obtenir l'hydrogène derrière. Même raisonnement avec la molécule (b) à droite.
Voir me fichier ci-joint
J'espère que cela pourra vous aider.
- Fichiers joints
-
Stéréochimie.pdf- (419.14 Kio) Téléchargé 660 fois
