DES MESURES TERRESTRES
Modérateur : moderateur
-
ELISABETH SECONDE
Re: DES MESURES TERRESTRES
Bonjour,
Pouvez_vous me dire si mes résultats sont juste, concernant la suite de ce problème avec D3R3?
5.2. Quelle masse de dioxygène doit-il stocker au minimum dans l’autre réservoir pour consommer entièrement les 1,5 tonnes de dihydrogène ?
Données : masses molaires atomiques : M(H) = 1 g.molˉ¹ M(0) = 16 g.molˉ¹
Électrolyse de l’eau
16g.mol¯¹x 1 500 000 /1g.mol¯¹= 24 000 000 g.mol¯¹
Pour 1,5 tonnes de dihydrogène, il lui faudra 24 000 000 g.mol¯¹soit 24 tonnes.
En vous remerciant
Pouvez_vous me dire si mes résultats sont juste, concernant la suite de ce problème avec D3R3?
5.2. Quelle masse de dioxygène doit-il stocker au minimum dans l’autre réservoir pour consommer entièrement les 1,5 tonnes de dihydrogène ?
Données : masses molaires atomiques : M(H) = 1 g.molˉ¹ M(0) = 16 g.molˉ¹
Électrolyse de l’eau
16g.mol¯¹x 1 500 000 /1g.mol¯¹= 24 000 000 g.mol¯¹
Pour 1,5 tonnes de dihydrogène, il lui faudra 24 000 000 g.mol¯¹soit 24 tonnes.
En vous remerciant
Re: DES MESURES TERRESTRES
SoS(8) a écrit :A priori je pense que votre raisonnement est bon bien que je ne voie pas dans les données a quoi correspond l'axe des x...ELISABETH SECONDE a écrit :Je vous remercie de votre aide.
Pouvez-vous me dire si la suite est juste?
4. Géolocalisation du lieu GE³
Considère le plan (Ox, Oy) pour lequel le point O représente le centre de la Terre et l’axe Oy passe par le pôle Nord. A un instant donné, 3 satellites NAVSTAR se trouvent dans ce plan. A la date t = 150,00 ms de son horloge interne le GPS de l’agent D3R3, reçoit les indications suivantes :
– pour le satellite 1 : x₁ = 9 350 km ; y₁ = 25 000 km ; t₁ = 76,24 ms
– pour le satellite 2 : x₂ = 18 900 km ; y₂ = 18 800 km ; t₂ = 81,56 ms
– pour le satellite 3 : x₃ = 23 000 km ; y₃ = 13 500 km ; t₃ = 82,46 ms
4.1. Calculer la distance qui sépare le GPS de chaque satellite.
Ma réponse :
formule PS₁ = c.(t-t₁) = d₁ sachant que c = vitesse de la lumière = 3,00.10⁸msˉ¹
On a :
PS₁ = c.(t-t₁) = 3,00.10⁸msˉ¹(150,00ms - 76,24ms) = 299999773,8ms
PS₂ = c.(t-t₁) = 3,00.10⁸msˉ¹(150,00ms - 81,56ms) = 299999768,4ms
PS₃ = c.(t-t₁) = 3,00.10⁸msˉ¹(150,00ms - 82,46ms)= 299999767,5ms
En vous remerciant
Re: DES MESURES TERRESTRES
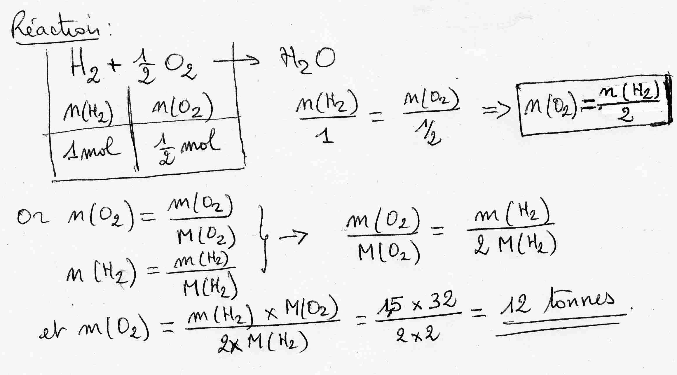
Je ne suis pas d'accord avec votre résultat: premièrement il s'agit de dihydrogène et dioxygène, revoyez les masses molaires et de plus il faut écrire la synthèse de l'eau à partir du dihydrogène et du dioxygène. Le calcul donne alors 12 tonnes de \(O_2\)...ELISABETH SECONDE a écrit :Bonjour,
Pouvez_vous me dire si mes résultats sont juste, concernant la suite de ce problème avec D3R3?
5.2. Quelle masse de dioxygène doit-il stocker au minimum dans l’autre réservoir pour consommer entièrement les 1,5 tonnes de dihydrogène ?
Données : masses molaires atomiques : M(H) = 1 g.molˉ¹ M(0) = 16 g.molˉ¹
Électrolyse de l’eau
16g.mol¯¹x 1 500 000 /1g.mol¯¹= 24 000 000 g.mol¯¹
Pour 1,5 tonnes de dihydrogène, il lui faudra 24 000 000 g.mol¯¹soit 24 tonnes.
En vous remerciant
-
Invité
Re: DES MESURES TERRESTRES
SoS(8) a écrit :Je ne suis pas d'accord avec votre résultat: premièrement il s'agit de dihydrogène et dioxygène, revoyez les masses molaires et de plus il faut écrire la synthèse de l'eau à partir du dihydrogène et du dioxygène. Le calcul donne alors 12 tonnes de \(O_2\)...ELISABETH SECONDE a écrit :Bonjour,
Pouvez_vous me dire si mes résultats sont juste, concernant la suite de ce problème avec D3R3?
5.2. Quelle masse de dioxygène doit-il stocker au minimum dans l’autre réservoir pour consommer entièrement les 1,5 tonnes de dihydrogène ?
Données : masses molaires atomiques : M(H) = 1 g.molˉ¹ M(0) = 16 g.molˉ¹
Électrolyse de l’eau
16g.mol¯¹x 1 500 000 /1g.mol¯¹= 24 000 000 g.mol¯¹
Pour 1,5 tonnes de dihydrogène, il lui faudra 24 000 000 g.mol¯¹soit 24 tonnes.
En vous remerciant
J'ai plus de difficultés en chimie.
vous avez raison, j'ai oublié les règles des masses molaires.
voici les masses molaires :
masse molaire moléculaire du dihydrogène
M(H2O) = 2 * M(H) + 1 * M(O) = 2 * 1,0 + 1 * 16,0= 18,0 g/mol
masse molaire moléculaire de l'eau
M(H2) = 2 * M(H)= 2 * 1,0 = 2,0 g/mol
Par définition, une mole de molécules contient 6,02 X 10 puissance 23 molécules.
On passe ainsi de quantités de matière en masse à des quantité de matière exprimées en nombre de molécules, qui sont des moles.
Ensuite je ne vois pas quelle opération faire, dites moi si déjà je suis sur la bonne voie.
Je vais réfléchir pour la suite.
Je vous remercie pour votre aide.
Re: DES MESURES TERRESTRES
Il faut écrire l'équation de la réaction de synthèse de l'eau à partir du dihydrogène et dioxygène et l'équilibrer. Ensuite raisonner sur les quantités de matière de dihydrogène \(H_2\) et dioxygène \(O_2\) et non \(H_2O\) ! La relation liant masse et quantité de matière est : n = m/M, avec tout ça, vous devriez y arriver... (résultat : 12 tonnes de O2)
-
ELISABETH SECONDE
Re: DES MESURES TERRESTRES
voilà ce que j'ai trouvé:
16g.mol¯¹x 6,02.10²³x 1 500 000 /2g.mol¯¹x 6,02.10²³= 1,6254.10³¹/1,204.10²⁴ = = 12 026 578, 07 g.mol¯¹
Pour 1,5 tonnes de dihydrogène, il lui faudra 12 000 000 g.mol¯¹soit 12 tonnes de O₂.
mais, je ne comprend pas, car je ne trouve pas ce résultat, si je mets 18g.mol¯¹.
16g.mol¯¹x 6,02.10²³x 1 500 000 /2g.mol¯¹x 6,02.10²³= 1,6254.10³¹/1,204.10²⁴ = = 12 026 578, 07 g.mol¯¹
Pour 1,5 tonnes de dihydrogène, il lui faudra 12 000 000 g.mol¯¹soit 12 tonnes de O₂.
mais, je ne comprend pas, car je ne trouve pas ce résultat, si je mets 18g.mol¯¹.
Re: DES MESURES TERRESTRES
Il n'est pas nécessaire de passer par le nombre d'Avogadro, d'ailleurs dans votre calcul, les 2 nombres se simplifient ! Voici le corrigé :ELISABETH SECONDE a écrit :voilà ce que j'ai trouvé:
16g.mol¯¹x 6,02.10²³x 1 500 000 /2g.mol¯¹x 6,02.10²³= 1,6254.10³¹/1,204.10²⁴ = = 12 026 578, 07 g.mol¯¹
Pour 1,5 tonnes de dihydrogène, il lui faudra 12 000 000 g.mol¯¹soit 12 tonnes de O₂.
mais, je ne comprend pas, car je ne trouve pas ce résultat, si je mets 18g.mol¯¹.
-
ELISABETH SECONDE
Re: DES MESURES TERRESTRES
En fait cela me semblait beaucoup plus compliqué.
C'est la masse en gramme et la quantité en mole qu'il fallait surtout travailler.
Je vous remercie vraiment, cela m'a beaucoup aidée.
J'ai encore deux questions à travailler sur ce devoir, puis-je vous les soumettre dès que j'ai fini?
cordialement.
C'est la masse en gramme et la quantité en mole qu'il fallait surtout travailler.
Je vous remercie vraiment, cela m'a beaucoup aidée.
J'ai encore deux questions à travailler sur ce devoir, puis-je vous les soumettre dès que j'ai fini?
cordialement.
Re: DES MESURES TERRESTRES
Bien sûr, vous pouvez poser vos questions...
-
ELISABETH SECONDE
Re: DES MESURES TERRESTRES
voici encore une question sur Ce devoir:
3.3. Après plusieurs jours, D3R3 s’aperçoit qu’il survole toujours les mêmes endroits ; Que doit-il faire pour faire que son vaisseau survole des endroits différents d’un jour à l’autre ?
Ma réponse:
C'est normal que D3R3 survole toujours les mêmes endroits, puisque son vaisseau est géostationnaire évoluant toujours dans le plan de l’équateur terrestre, dans le même sens que la Terre et à la verticale du même point.
Son vaisseau est immobile par rapport à la Terre observant toujours la même zone Terrestre. Pour que son vaisseau survole des endroits différents, il devra se placer sur l'orbite polaire, sur une trajectoire allant du Nord au Sud et du Sud au Nord.
Le mouvement du vaisseau combiné à la rotation de la Terre lui permettra d’observer tout le globe.
Est-ce juste?
Merci
3.3. Après plusieurs jours, D3R3 s’aperçoit qu’il survole toujours les mêmes endroits ; Que doit-il faire pour faire que son vaisseau survole des endroits différents d’un jour à l’autre ?
Ma réponse:
C'est normal que D3R3 survole toujours les mêmes endroits, puisque son vaisseau est géostationnaire évoluant toujours dans le plan de l’équateur terrestre, dans le même sens que la Terre et à la verticale du même point.
Son vaisseau est immobile par rapport à la Terre observant toujours la même zone Terrestre. Pour que son vaisseau survole des endroits différents, il devra se placer sur l'orbite polaire, sur une trajectoire allant du Nord au Sud et du Sud au Nord.
Le mouvement du vaisseau combiné à la rotation de la Terre lui permettra d’observer tout le globe.
Est-ce juste?
Merci
Re: DES MESURES TERRESTRES
Bonjour,
Votre réponse est tout à fait juste.
Bravo et à bientôt.
Votre réponse est tout à fait juste.
Bravo et à bientôt.
-
ELISABETH SECONDE
Re: DES MESURES TERRESTRES
Bonjour, et merci pour votre aide très précieuse.
Voici encore un exercice sur ce devoir.
3.2. Combien pourra-t-il faire de passages du pôle Nord au pôle Sud en 24H ? Dessiner les morceaux de trajectoire du vaisseau dans le référentiel terrestre lorsqu’il descend du pôle Nord au pôle Sud sur la carte ci-dessous. La carte de Mercator conservant les angles, les morceaux de trajectoire peuvent être représentés par des segments de droite. Le satellite part du pôle Nord au niveau du méridien de Greenwich. (G) pour son premier passage.
Ma réponse:
Son vaisseau placé sur une telle orbite repasse au-dessus d'un point donné de la surface terrestre à la même heure solaire locale.
Il s'agit d'une orbite polaire basse entre 600 et 1000 km et de périodicité courte qui est décrite toutes les 96 à 110 minutes.
Le vaisseau coupera environ 12 fois par jours le plan de l'équateur terrestre et survolera les lieux toujours à la même heure, ce qui signifie qu'il fera 24 passages en 24 heures.
Pour les morceaux de trajectoire à dessiner, je ne vois pas trop comment faire.
en vous remerciant.
Voici encore un exercice sur ce devoir.
3.2. Combien pourra-t-il faire de passages du pôle Nord au pôle Sud en 24H ? Dessiner les morceaux de trajectoire du vaisseau dans le référentiel terrestre lorsqu’il descend du pôle Nord au pôle Sud sur la carte ci-dessous. La carte de Mercator conservant les angles, les morceaux de trajectoire peuvent être représentés par des segments de droite. Le satellite part du pôle Nord au niveau du méridien de Greenwich. (G) pour son premier passage.
Ma réponse:
Son vaisseau placé sur une telle orbite repasse au-dessus d'un point donné de la surface terrestre à la même heure solaire locale.
Il s'agit d'une orbite polaire basse entre 600 et 1000 km et de périodicité courte qui est décrite toutes les 96 à 110 minutes.
Le vaisseau coupera environ 12 fois par jours le plan de l'équateur terrestre et survolera les lieux toujours à la même heure, ce qui signifie qu'il fera 24 passages en 24 heures.
Pour les morceaux de trajectoire à dessiner, je ne vois pas trop comment faire.
en vous remerciant.
-
ELISABETH SECONDE
Re: DES MESURES TERRESTRES
[attachment=0]schéma S1 S2 S3.pdf
Voici un autre exercice sur ce devoir:
4.2. Représenter, en prenant pour échelle 1cm pour 2000 km, les 3 satellites dans le plan (Ox,Oy) et l’arc de cercle représentant la surface de la Terre.
4.3. Tracer pour chacun des 3 satellites une partie de l’ensemble des points où peut se trouver le GPS et vérifier que le GPS se trouve bien quelque part à la surface de la Terre.
Ma réponse :
Voici un autre exercice sur ce devoir:
4.2. Représenter, en prenant pour échelle 1cm pour 2000 km, les 3 satellites dans le plan (Ox,Oy) et l’arc de cercle représentant la surface de la Terre.
4.3. Tracer pour chacun des 3 satellites une partie de l’ensemble des points où peut se trouver le GPS et vérifier que le GPS se trouve bien quelque part à la surface de la Terre.
Ma réponse :
- Fichiers joints
-
schéma S1 S2 S3.pdf- (652.04 Kio) Téléchargé 783 fois
-
ELISABETH SECONDE
Re: DES MESURES TERRESTRES
Je viens de corriger le schéma, car D3R3, est bien sur la ligne de l'équateur, et à -90° de longitude.
Est-ce juste?
Est-ce juste?
Re: DES MESURES TERRESTRES
Oui, à priori, vous avez dans l'énoncé les coordonnées de S1 (x, y) de S2 et S3 et vous connaissez la position de D3R3, je ne peux vérifier l'échelle utilisée à l'ordinateur mais cela ne doit pas poser de problème...ELISABETH SECONDE a écrit :Je viens de corriger le schéma, car D3R3, est bien sur la ligne de l'équateur, et à -90° de longitude.
Est-ce juste?
